Hola. Tengo dificultad para resolver derivadas: y= (x-4)
5
y= 3(4x-2) y= h
5 (n2 + x2)3
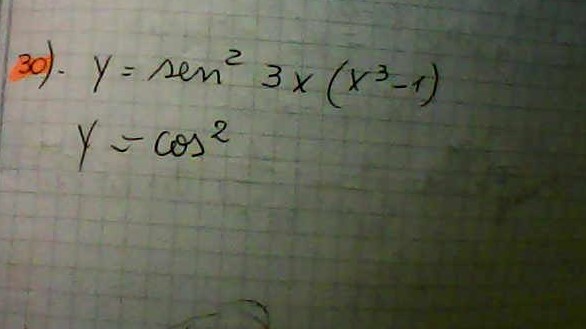
30)
y=sen23x(x3-1)
y=(sen(3x))2*(x3-1)
Observa que es la función es:
* un producto de funciones (la derivada es la derivada del primero por el segundo sin derivar más el primero sin derivar por el segundo derivado)
* estas funciones están elevadas a potencias (para derivarlas se multiplica la función por el exponente y se eleva ésta a una unidad menos, a lo obtenido se le multiplica la derivada de la función)
y´ = [(sen(3x))2]´* (x3-1) + (sen(3x))2 * [x3-1]´
y´= 2*(sen(3x))1*cos(3x)*3*(x3-1) + (sen(3x))2*2x2
y´= 6(sen(3x))*cos(3x)*(x3-1) + 2x2(sen(3x))2
y´= (6x3-6)(sen(3x))*cos(3x) + 2x2(sen(3x))2
que es mayor 1.93x10-18 o 1.55x10-19?
Como puedo saber eso osea las reglas de eso?

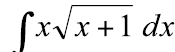
Plantea la sustitución (cambio de variable):
x + 1 = w2, de donde tienes:
√(x + 1) = w, y también tienes
x = w2 - 1, y también tienes:
dx = 2w*dw.
Luego, tienes la integral:
I = ∫ x*√(x + 1)*dx = sustituyes = ∫ (w2 - 1)*w*2w*dw = extraes el factor constante y distribuyes:
= 2 * ∫ (w4 - w2)*dw = y puedes continuar la tarea.
Espero haberte ayudado.
Encuentra z si A(3,1) y B(0,z) se llevan 5 unidades entre si
Muchas gracias.

Por lo que entiendo, debes plantear que la distancia entre los puntos A y B es igual a 5 unidades:
√( (0-3)2 + (z-1)2 ) = 5, haces pasaje de raíz como potencia, y queda:
(0-3)2 + (z-1)2 = 25, resuelves el primer término, haces pasaje de término, y queda:
(z-1)2 = 16, haces pasaje de potencia como raíz, y tienes dos opciones:
a)
z - 1 = -4, haces pasaje de término, y queda: z = -3, y el punto B queda expresado: B(0,-3);
b)
z - 1 = 4, haces pasaje de término, y queda: z = 5, y el punto B queda expresado: B(0,5).
Espero haberte ayudado.

En los tres ejercicios debes factorizar (recuerda los diferentes casos), para luego simplificar.
Luego, si las expresiones simplificadas son iguales, entonces tienes que las expresiones algebraicas fraccionarias son equivalentes.
a)
(2x3-2x) / (x2+x3) = 2x(x2-1) / x2(1+x) = 2x(x+1)(x-1) / x2(1+x) = simplificas = 2/x,
(4x-4) / (2x-6) = 4(x-1) / 2(x-3) = simplificas = 2(x-1)/(x-3);
por lo tanto, las expresiones no son equivalentes.
b)
(6x+15) / (2x2-x-15) = 3(2x+5) / (2x+5)(x-3) = simplificas = 3/(x-3),
(9x+36) / (3x2+3x-36) = 9(x+4) / 3(x2+x-12) = 9(x+4) / 3(x+4)(x-3) = simplificas = 3/(x-3);
por lo tanto, las expresiones si son equivalentes.
c)
(x2+10x+25) / (2x3+20x2+50x) = (x+5)2 / 2x(x2+10x+25) = (x+5)2 /2x(x+5)2 = simplificas = 1/(2x),
(3x-9) / (-x2+3x) = 3(x-3) / -x(x-3) = simplificas = -3/x;
por lo tanto, las expresiones no son equivalentes.
Espero haberte ayudado.

Ahí vamos, a ver si te sirve, y observa que detallamos los últimos pasos, y simplificamos los factores remarcados.
a)
... = 2x(x+1)(x-1) / x2(1+x) = 2x(x+1)(x-1) / x*x(1+x) = simplificas = 2/x,
... = 4(x-1) / 2(x-3) = 2*2(x-1) / 2(x-3) = simplificas = 2(x-1)/(x-3).
b)
... = 3(2x+5) / (2x+5)(x-3) = simplificas = 3/(x-3),
... = 9(x+4) / 3(x+4)(x-3) = 3*3(x+4) / 3(x+4)(x-3) = simplificas = 3/(x-3).
c)
... = (x+5)2 / 2x(x+5)2 = simplificas = 1/(2x),
... = 3(x-3) / -x(x-3) = simplificas = 3/(-x) = -3/x.
Espero haberte ayudado.

a)
bserva los sectores amarillo y lila:
p(∼I) = 0,27 + 0,27 = 0,54 = 54 %;
más formal:
p(∼I) = 1 - p(I) = 1 - 0,46 = 0,54 = 54 %.
b)
Observa los sectores amarillo, naranja y lila:
p(∼M u ∼I) = 0,27 + 0 + 0,27 = 0,54 = 54%;
más formal:
p(∼M u ∼I) = aplicas la Ley de De Morgan = p( ∼(M∩I) ) = 1 - pM∩I) = 1 - 0,46 = 0,54 = 54 %.
c)
Observa el sector lila:
p( ∼(M u I) ) = 0,27 = 27 %;
más formal:
p( ∼(M u I) ) = 1 - p(M u I) = 1 - ( p(M) + p(I) - p(M∩I) ) = 1 - ( 0,73 + 0,46 - 0,46 ) = 1 - 0,73 = 0,27 = 27 %.
Espero haberte ayudado.