Buenas tardes, de nuevo .. otra de trigonométria Antonio :(
Me piden demostrar que sen alfa + sen B es igual a 2 sen (a+b/2) cos (a--b/2) .... no me sale .. no se como calcular el seno de un ángulo mitad .. me ayudas porfa? gracias
como se encuentra la base de una matriz?

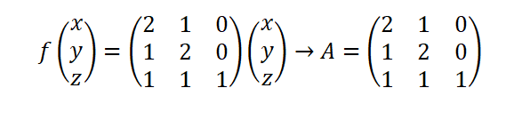
Actividad 2 Sea f : R 3 → R 3 definida por f(x, y, z) = (2x + y, x + 2y, x + y + z).
1. Halle la matriz asociada a f respecto de las bases can´onicas de R 3 .
2. Halle los valores propios correspondientes al endomorfismo f.
3. ¿Existe una base de R 3 tal que la matriz asociada a f sea diagonal? En caso afirmativo explicite dicha matriz.
4. Halle dicha base.
este es el ejercico i no se que hacer en el apartado 4
Perdón, por mi mala educación,me pueden ayudar con la pregunta que hice antes; no me suena ni por asumo haberlo hecho nunca,también es que hace 25 años que deje el instituto y lo acabo de retomar ahora con la escuela de adultos,pero de vedad, no me suena para nada,esto,gracias y buenas tardes
Ya la tienes respondida en notación decimal y científica...https://www.unicoos.com/video/matematicas/1-bachiller/numeros-reales/notacion-cientifica/notacion-cientifica
Nunca es tarde, ánimo :)
1.En la división (x^4 - 2x + a) : (x - 5) se puede el valor que ha de tomar a: para que el resto sea -2
2.Hallar el valor de m para que las siguientes divisiones sean exactas: (mx^3 - 5x + 3) : (x + 3)