Me podéis ayudar a plantear estos problemas ?
Los lados de un rectángulo son 6 y 8 cm ¿Es semejante al de lados 15 y 24 cm? ¿y al 12 y 16 cm?
Una fotografía de 9 x 6 cm tiene alrededor de un marco de 2,5 cm de ancho ¿Son semejantes los rectángulos interior y exterior del marco? Razona tu respuesta.

Puedes aplicar la propiedad distributiva del producto con respecto a la suma y a la resta, y la expresión queda:
(3/x2)*2x2 + ( (x+2)/x )*2x2 - ( (x+1)/(x-2) )*2x2 =
simplificas y resuelves productos en cada término por separado, y queda:
= 6 + 2x*(x+2) - 2x2*(x+1)/(x-2) =
distribuyes en el segundo y en el tercer término, y queda:
= 6 + 2x2 + 4x - (2x3+2x2)/(x-2) =
ordenas los tres primeros términos, y queda:
= 2x2 + 4x + 6 - (2x3+2x2)/(x-2) =
extraes denominador común, y queda:
= ( 2x2*(x-2) + 4x*(x-2) + 6*(x-2) - (2x3+2x2) )/(x-2) =
distribuyes en todos términos del numerador, y queda:
= (2x3 - 4x2 + 4x2 - 8x + 6x - 12 - 2x3 - 2x2)/(x-2) =
cancelas términos opuestos, y queda:
= (-8x + 6x - 12 - 2x2)/(x-2) =
reduces términos semejantes y ordenas términos en el numerador, y queda:
= (-2x2 - 2x - 12)/(x-2) =
extraes factor común en el numerador, y queda:
= -2(x2 + x + 6)/(x-2),
que es la mínima expresión, ya que el trinomio cuadrático en el numerador no tiene raíces reales.
Espero haberte ayudado.
Común denominador:
{ [3*(x-2) + (x+2)*(x-2)*x - (x+1)*x2]÷[(x2)*(x-2)] } * 2x2=
Las x2 multiplicando y dividiendo se eliminan:
{ [3*(x-2) + (x+2)*(x-2)*x - (x+1)*x2]÷[(x2)*(x-2)] } * 2x2=
Ponemos delante el 2 que acompañaba a las x2 para evitar despistes:
2* [3*(x-2) + (x+2)*(x-2)*x - (x+1)*x2]÷(x-2) =
Desarrollamos lo de dentro de los corchetes:
2* [3x-6 + (x2-22)*x - x3-x2]÷(x-2) =
2*(3x-6 + x3-4x - x3-x2)÷(x-2) =
Eliminamos x3 y -x3 porque se anulan ,multiplicamos por dos y obtenemos:
(6x-12-8x -2x2)÷(x-2) =
Sumamos y restamos en el numerador y resulta:
(-2x2-2x-12)÷(x-2)
como hago esto?? lo tengo casi terminado. sistema de 3 ecuaciones
x y z
1 -1 3 2
0 5 -8 - 2
0 0 -11 -9
z=9/11 y= x= 5y -8(9/11)=-2 no se sacarlos con fracciones.

Observa que te queda el sistema equivalente:
x - y + 3z = 2
5y - 8z = -2
-11z = -9, aquí haces pasaje de factor como divisor, y queda: z = 9/11;
luego, reemplazas el valor remarcado en la segunda ecuación, y queda:
5y -8(9/11) = -2, aquí resuelves el segundo término, y queda:
5y - 72/11 = - 2, haces pasaje de término, y queda:
5y = 50/11, haces pasaje de factor como divisor, y queda: y = 10/11,
luego, reemplazas los valores remarcados en la primera ecuación, y queda:
x - 10/11 + 3(9/11) = 2, aquí resuelves el tercer término, y queda:
x - 10/11 + 27/11 = 2, reduces términos semejantes en el primer miembro, y queda:
x + 17/11 = 2, haces pasaje de término, y queda: x = 5/11,
y con los valores remarcados tienes la solución que te ha indicado la colega Carmen.
Espero haberte ayudado.
hola, necesito ayuda con unas operaciones:
podrías hacer un video explicándolas por favor
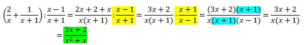
[(2/X + 1/X+1):(X- 1/X+1)]
[(3/X2 )+( X+2x)-(X+1/X-2)] por 2X2

Revisa todos los videos de esta leccion... Expresiones algebraicas 01
Y cuando envies ejercicios de este tipo, envia mejor una foto o no te olvides poner los paréntesis adecuados (te comistes casi todos y es imposible saber que te piden)
No es lo mismo x-:x+1 que (x-1):(x+1) que x-1:(x+1) que (x-1):x + 1
Hola, tengo el siguiente problema sobre funciones, no se si esta bien. Ejercicio:
¿Cuál es la ecuación de la función que nos da el área de un cuadrado dependiendo de cuánto mida su lado? Haz su representación gráfica.
Lo que hice fue:
A= l2 → y= x2
La tabla de valores que realice:
(√3-√2).√3+5√6=( (√3.√3)- (√3.√2))+ 5√3. 5√2=
3-(4√3√2).
me va bien?
Buenas tardes a todos; quería formularles una pregunta que tengo:
Mañana tengo examen y me entran el error absoluto y relativo (el vídeo ya lo he visto). Mi profesora me ha dicho que el Ea es igual a /Valor medio- Valor real/ y el valor real nos ha dicho que puede ser la medida que nos da el fabricante o la media de los valores medidos y no se cuando aplicar una definición u otra.
Muchas gracias y si tienes algún truquillo o lo entienden mejor que yo les agradecería que me lo digan gracias de nuevo.
Buenas tardes
hola carlos,
te dire como me lo explicaron a mi por si te sirve.
ea=valor aproximado obtenido en la medida-valor verdadero o valor exacto en la medida
poniendo asi como ejemplo: tu mides un hilo de 5 metros,hallando un valor de 6,realmente el hilo mide 5 pero tu hallas un valor mas o menos aproximado a la realidad,lo que sabemos es que mide 5(valor verdadero)y la medida que tu has obtenido(valor aproximado)
espero te sirva de ayuda,saludos y suerte para el examen