
Plantea el arbol....
P(chico)=80/130....... P(aprobar/chico)=0,5
....................................P(suspender/chico)=0,5
P(chica)=50/130....... P(aprobar/chica)=0,5
....................................P(suspender/chica)=0,5
A partir de ahí, echale un vistazo a este video y nos cuentas ¿ok?... Probabilidad total - Diagrama de árbol #nosvemosenclase
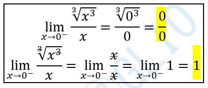
Hola unicoos me gustaria saber como queda este limite (0/0) ó (1)
lim (∛x^3)/x
x→0^-
Buenos días, ¿me pueden ayudar con este ejercicio?
Convertir a ecuación polar la siguiente ecuación rectangular.
x3+y3+xy=0

Recuerda las ecuaciones de pasaje: x = r*cosθ, y = r*senθ; luego sustituyes, y queda:
(r*cosθ)3 + (r*senθ)3 + r*cosθ*r*senθ = 0.
Luego, distribuyes las potencias en los dos primeros términos, reduces factores semejantes en el tercer término, y queda:
r3*cos3θ + r3*sen3θ + r2*cosθ*senθ = 0.
Extraes factor común, y queda:
r2*(r*cos3θ + r*sen3θ + cosθ*senθ) = 0.
Luego, por anulación de un producto, tienes dos opciones:
a)
r2 = 0, haces pasaje de potencia como raíz, y queda: r = 0, que corresponde al polo (origen de coordenadas en el plano cartesiano OXY);
b)
r*cos3θ + r*sen3θ + cosθ*senθ = 0, haces pasaje del tercer término, extraes factor común entre los dos primeros términos, y queda:
r*(cos3θ + sen3θ) = - cosθ*senθ, haces pasaje de factor como divisor, y queda:
r = - cosθ*senθ/(cos3θ + sen3θ).
Espero haberte ayudado.

Ese 2 que tiene exponente que sea un " a " ya que se repite , entonces se tiene :
E= (a-1) / (a+1)
Puedes hacer la división de polinomios con el método que gustes .
Otra forma es usar un sencillo artificio sabiendo que ...... a - 1 = (a+1) - 2
E = [ (a+1) - 2 ] / (a+1) = (a+1) / (a+1) - 2/(a+1) = 1 - 2/(a+1)
Lo que se a realizado allí es la división de polinomios , emplea el método que gustes.
Hola a todos estoy en 1º de Teleco y necesito ayuda con el siguiente ejercicio de Algebra lineal:
(a) Dar una base del espacio vectorial M3×3(R) de matrices 3×3 con entradas reales
(b) Dar una base del espacio vectorial {A ∈ M3×3(R) : A T = A} de matrices 3 × 3 simétricas con entradas reales
Gracias
Demostrar que para todo subconjunto no vacío de IN acotado superiormente , tiene máximo.

Como tienes que el subconjunto está acotado superiormente, tienes que existe un número natural N tal que N es mayor que todos los elementos del subconjunto, y es el mínimo que todas las cotas superiores.
Luego, como N es el mínimo de las cotas superiores, tienes dos opciones:
a)
Si N pertenece al subconjunto, entonces N es su Máximo.
b)
Si N no pertenece al subconjunto, y como N es la menor de sus cotas superiores, entonces tienes que N-1, que también es natural, es su Máximo.
Espero haberte ayudado.
Alguien que me ayude con este ejercicio:
(Raiz(ax^4 + bx^3)) / x y todo eso restado x
limite de x que tiende a inf.
¿Encontrar los valores de a y b ?