Hola, no sé como resolver dos problemas, con radicales. ¿Alguíen me puede ayudar?
1. Si el cuadrado grande tiene costado 1, ¿cuál será el área del cuadrado pequeño? (ver dibujo)
2. Si este cuadrado tiene área 1, ¿cuál és el área del cuadrilater sombreado? (ver dibujo)
Muchas gracias, un saludo

De preferencia 1 ejercicio en cada publicación así así se puede enfocar y detallar (si es necesario) el ejercicio .
En el ejercicio 1 :
En la imagen pongo una propiedad con su demostración para cualquier triángulo que tiene inscrito un cuadrado .
Esa propiedad la usas 2 veces , en tu imagen tienes un triángulo grande de altura = 1 y base = 1 , con ello calculas el lado del cuadrado mediano y = ( 1*1)/(1+1) = 1/2
En el triángulo que tiene inscrito un cuadrado rojo aplicas nuevamente la propiedad , por semejanza puedes probar que los catetos están en razón de 2 a 1 en ese triángulo pequeño . Aplicando la semejanza encuentras que eso catetos miden 1/4 y 1/2 cualquiera puede hacer de altura o base y aplicas la propiedad .
x =[ (1/2)(1/4)] / [ (1/2) + (1/4)] = 1/6
Area = 1/36

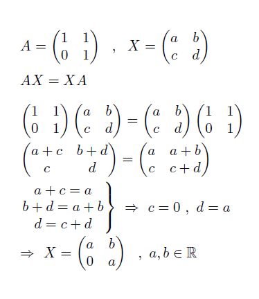
Hay que tener cuidado con la multiplicación de matrices , no es lo mismo que multiplicar números reales , ya que la multiplicación de matrices no es conmutativa
Entonces si multiplicas por la inversa de A por la izquierda , en el otro lado también debes multiplicar por la izquierda quedando algo así :
(A^-1)A.X = (A^-1)X.A , con lo cual no se llega a nada en este caso .
Pongo una solución en la imagen.
Datos que se deducen del enunciado:
8 chicos eligieron música
8 chicos eligieron informática
12-8= 4 chicas eligieron música
17-4= 13 chicas eligieron informática
-------------------------------------------------------
8+8+13+4= 33 estudiantes en total
a) Sea chico
Casos favorables=16
Casos posibles= 33
Laplace------> P(chico)= 16/33
b) Sea chica y estudie música
4/33
c) Siendo chica estudie música
4/(4+13)= 4/17
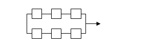
Alguien sabe como resolver este ejercicio??
Determinar en el sistema cuyo esquema se adjunta, el valor medio del tiempo hasta el fallo de las componentes necesario para conseguir una fiabilidad del sistema de 0’9 a las 100 horas de funcionamiento. Considerar que todas las componentes tienen la misma tasa de fallo constante.
Muchas gracias.

Me encantaría ayudarte, pero no respondo dudas universitarias que no tengan que ver específicamente con los videos que ya he grabado como excepcion. O de otras asignaturas que no sean matemáticas, física y química. Lo siento de corazón… Espero lo entiendas
Ojalá algun unicoo universitario se anime a ayudarte (de hecho lo ideal es que todos los universitarios intentarais ayudaros los unos a los otros)