
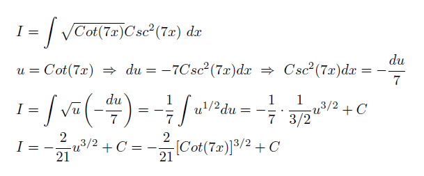
Se trata de que DESPUES DE IR A CLASE (ver los vídeos relacionados con
vuestras dudas) enviéis dudas concretas, muy concretas. Y que nos enviéis
también todo aquello que hayais conseguido hacer por vosotros mismos. Paso a
paso, esté bien o mal. No solo el enunciado. De esa manera podremos saber vuestro
nivel, en que podemos ayudaros, cuales son vuestros fallos.... Y el trabajo
duro será el vuestro. Nos cuentas ¿ok? #nosvemosenclase ;-)
Ayuda por favor con la c, como puedo hallar los puntos criticos ??? Como puedo luego graficar ??
En especial necesito los puntos criticos ya que ahi me complico bastante.
Ayuda por favor:
1. Halle los valores máximo y mínimo absolutos de f sobre el intervalo dado.
f(t) = 2 cos(t) + sin(2t), [0, π/2 ]
2.Halle los valores máximo y mínimo absolutos de f(x) = x √( x−x^2)

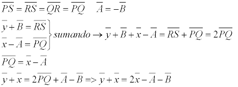
Lo de rojo es la medida de los segmentos (no vectores)
Allí está también las ecuaciones para x e y , donde se conocen los vectores KN , NQ=RN que pueden ser expresados en términos de los vectores A y B , allí indican las ecuaciones .
Entonces con ello calculas x e y , yo he calculado la suma.
Hola, alguien me podria ayudar con este ejercicio? Es muy complicado y no logro como llegar a lo que me piden. Gracias
Me dieron las respuestas, que son Yv= 1, Xv= 5+ o - 25/2 , K=1, Q= + o - 25/2, y como f(x) posible, 50/261x2 -250/87x + 25/2
Saludos unicoos, necesito ayuda urgente, me pide describir el comportamiento de. Las funciones sus puntos criticos maximos y minimos. El g y el h por favor

Se trata de que DESPUES DE IR A CLASE (ver los vídeos relacionados con
vuestras dudas) enviéis dudas concretas, muy concretas. Y que nos enviéis
también todo aquello que hayais conseguido hacer por vosotros mismos. Paso a
paso, esté bien o mal. No solo el enunciado. De esa manera podremos saber vuestro
nivel, en que podemos ayudaros, cuales son vuestros fallos.... Y el trabajo
duro será el vuestro. Nos cuentas ¿ok? #nosvemosenclase ;-)

No, no es correcto. Echale un vistazo... Trigonometría - Resolución de un triángulo rectángulo
El seno(alfa) = CATETO OPUESTO / hipotenusa
El coseno(alfa)= CATETO CONTIGUO / hipotenusa