Foro de preguntas y respuestas de Matemáticas

logo beUnicoos
Los foros de unicoos se han unificado en nuestra nueva plataforma beUnicoos. Para dejar nuevas preguntas deberás hacerlo allí, donde además podrás encontrar nuevas asignaturas y herramientas para ayudarte más con tus estudios.

  • icon

    Fernando
    el 22/10/17

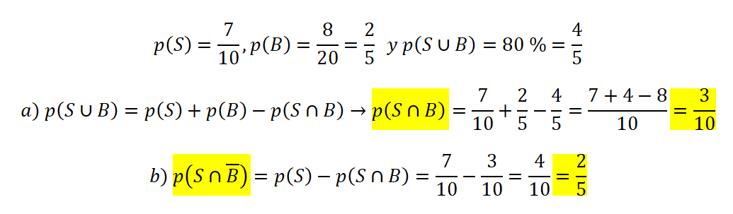
    Hola, una ayuda con esto por favor.


    Responde a las siguientes cuestiones:

    a) El incremento salarial en una empresa en los últimos 3 años ha sido del 2%, 3% y 4%. ¿En qué porcentaje se ha incrementado el sueldo después de las tres subidas?

    b) El sueldo de Juan los últimos 4 años ha tenido las siguientes subidas: 2%, 2%, 2%,2%. ¿Ganaahoraexactamenteun8%másquehace4años?


    replythumb_up0 voto/sflag
    icon

    Lucas García
    el 22/10/17

    la b es falsa porque gana un 2% de su sueldo actual así que seria:

    1 año: sueldo x 1,2

    2 año: (sueldo x 1,2) x 1,2 

    y asi sucesivamente

    thumb_up0 voto/sflag
    icon

    Fernando
    el 22/10/17

    pero¿como llegas a esa conclusión ?


    lo eh planteado de 2 maneras diferentes y ninguna es correcta .


    ¿de donde sacas el 1,2?

    thumb_up0 voto/sflag
    icon

    Ángel
    el 22/10/17

    Subida del 2% anual durante 4 años = 1.02*1.02*1.02*1.02= 1.024=   1.082423                                                

    1.082403-1= 0.082403= 8.243216 %


    8.243216%  ≠ 8%                     

    No gana exactamente un 8% más que hace 4 años, sino un 8.24%                                                           


    thumb_up0 voto/sflag
    icon

    Fernando
    el 22/10/17

    pero sigo entender de donde sale el 1,02

    thumb_up0 voto/sflag
    icon

    Ángel
    el 22/10/17

    Ejemplo_1: Si tenemos una moneda con valor 1, si se produce una....

    Subida del 2% =  1.02 será su valor

    Subida del 10%  = 1.1 será su valor

    Subida del 61% = 1.61 será su valor


    Ejemplo_2: Si tenemos una moneda con valor 1, si se producen cuatro....

    Subidas del 2% = 1.0241.0824 será su valor

    Subidas del 10% = 1.141.4641 será su valor

    Subidas del 61% = 1.614= 6.719 será su valor



    thumb_up0 voto/sflag
    icon

    Fernando
    el 22/10/17

    entonces el apartado a) seria de la siguiente manera: 


    3 años: 1año 2% + 1año 3% + 1año 4% =

                 1+0,02 + 1+0.03 + 1+0.04 =

                1,02+1,03+1,04 = 3,09 % 


     ¿En qué porcentaje se ha incrementado el sueldo después de las tres subidas?  3,09 % 



    ¿Es correcto?


    thumb_up0 voto/sflag
    icon

    Ángel
    el 22/10/17

    No es correcto.

    Observa que el b) eran 4 subidas del 2%----------->       1.02*1.02*1.02*1.02= 1.0824= 8,24%


    El apartado a) son 3 subidas del 2%,3% y 4% ------->   1.02*1.03*1.04= 1.092624=  9,2624%           

    thumb_up0 voto/sflag
    icon

    Fernando
    el 22/10/17

    mi error estaba en que lo sumaba en vez de multiplicar.


    muchas gracias Ángel 

    thumb_up0 voto/sflag
  • icon

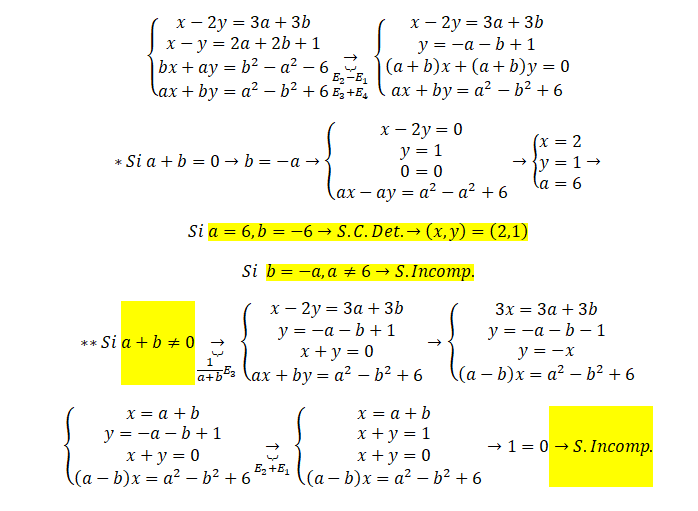
    Víctor López
    el 22/10/17

    ¡Buenos días! Tengo dudas sobre cómo se discute este sistema de ecuaciones que tiene dos parámetros, alfa y beta. Les agradecería muchísimo que me ayudasen con él. Se trata del ejercicio 10. ¡Muchas gracias!

    replythumb_up0 voto/sflag
    icon

    Lucas García
    el 22/10/17

    primero de todo deberías hacer la matriz y operarla hasta que te quede escalonada.

    Después simplemente tienes que ver que valores le tienes que dar a alfa y beta para que te des sistema de ecuaciones determinados, indeterminado o incompatible

    thumb_up0 voto/sflag
    icon

    Antonius Benedictus
    el 22/10/17

    Te he hecho una discusión y resolución básica por Gauss, sin usar matrices ni determinantes. Puedes adaptarla perfectamente a expresión matricial.


    thumb_up0 voto/sflag
  • icon

    Nomi EsEx
    el 22/10/17

    ¿holaalguien podria decirme donde puedo ver division y multiplicación de números enteros?

    gracias.

    replythumb_up0 voto/sflag
    icon

    Antonius Benedictus
    el 22/10/17

  • icon

    Mary Diaz
    el 22/10/17

    Hola, la derivada de e^-(x+1) cuanto es?


    replythumb_up0 voto/sflag
    icon

    César
    el 22/10/17

    -e^-(x+1)


    thumb_up1 voto/sflag
    icon

    Ángel
    el 23/10/17

    Puedes expresarla como cociente:

    -1/(ex+1)

    thumb_up1 voto/sflag
  • icon

    Mary Diaz
    el 22/10/17

    Hola, e^-1 tiene solucion?


    replythumb_up0 voto/sflag
    icon

    César
    el 22/10/17

     e^-1=1/e    si tiene solucion 



    thumb_up1 voto/sflag
    icon

    Ángel
    el 23/10/17

    e-1 =     1/(e1) =  1/e =  0.36788

    thumb_up1 voto/sflag
  • icon

    Kevin Cordero
    el 22/10/17

     ayuda por favor :C se supone que la respuesta da -1/2 por medio de L'hopital 

    Pero no me da ese resultado


    Gracias

    replythumb_up0 voto/sflag
    icon

    Antonius Benedictus
    el 22/10/17


    thumb_up1 voto/sflag
  • Usuario eliminado
    el 22/10/17
    flag


    replythumb_up0 voto/sflag
    icon

    Antonius Benedictus
    el 22/10/17


    thumb_up0 voto/sflag
  • Usuario eliminado
    el 22/10/17
    flag


    replythumb_up0 voto/sflag
    icon

    Antonius Benedictus
    el 22/10/17


    thumb_up0 voto/sflag