
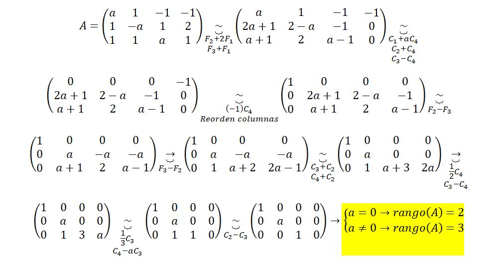
Observa que la matriz tiene tres filas y cuatro columnas, por lo que su rango puedes ser menor o igual que tres.
Luego, plantea el determinante de la submatriz formada por los elementos de las tres últimas columnas:
D =
1 -1 -1
-a 1 2
1 a 1 = a2-3a = a(a-3)
Luego, tienes tres casos para considerar:
1)
a ≠ 0 y a ≠ 3, que corresponden a: D ≠ 0, y en este caso el rango de la matriz es 3.
2)
a = 0
Reemplazas en la matriz de tu enunciado, y la matriz queda:
0 1 -1 -1
1 0 1 2
1 1 0 1
Observa que la tercera fila es igual a la suma de las dos primeras filas, por lo que tienes que la tercera fila es combinación lineal de las dos primeras, que a su vez son independientes (observa que el determinante de la submatriz cuyos elementos hemos remarcado es igual a 1, que es distinto de cero), por lo que en este caso el rango de la matriz es 2.
3)
a = 3
Reemplazas en la matriz de tu enunciado, y la matriz queda:
3 1 -1 -1
1 -3 1 2
1 1 3 1
Luego, plantea el determinante de la submatriz formada por los elementos de las tres primeras columnas:
D =
3 1 -1
1 -3 1
1 1 3 = -27-9 = - 36 ≠ 0,
por lo que en este caso tienes que el rango de la matriz es 3.
Espero haberte ayudado.
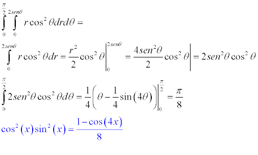
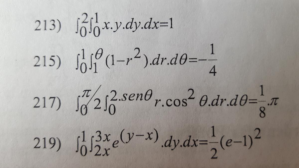
Hola buenos días unicoos, me podrían ayudar con la integral iterada 217. Esto es lo que pude hacer pero no me da el mismo resultado.
Desde ya muchas gracias![]()

Vamos con una orientación.
Observa que puedes extraer el factor cos2θ de la primera integral, Integras con respecto a r (observa que indicamos con corchetes que debemos evaluar con Regla de Barrow), y el argumento de la integral queda:
f(θ) = 2*cos2θ * [ (1/2)*r2 ], evalúas, y queda
f(θ) = 2*cos2θ *( (1/2)*( 2senθ)2 - (1/2)*0 ) = 2*(1/2)*4*sen2θ*cos2θ,
simplificas los dos primeros factores numéricos, expresas como cuadrado perfecto, y queda:
f(θ) = (2*senθ*cosθ)2,
aplicas la identidad trigonométrica del seno del doble de un ángulo en el agrupamiento, y queda:
f(θ) = sen2(2θ),
aplicas la identidad del seno cuadrado de un ángulo en función del coseno de su doble, y queda:
f(θ) = (1/2)*( 1 - cos(4θ) ) = 1/2 - (1/2)*cos(4θ);
y luego puedes continuar la tarea.
Espero haberte ayudado.
La suma de dos números primos da siempre un numero primo, ¿Por que ?
La suma de dos números primos da siempre un numero primo =
TODAS las sumas de dos nºs primos dan como resultado un nºprimo =
NO HAY NINGUNA SUMA DE DOS NÚMEROS PRIMOS QUE NO DE COMO RESULTADO UN NÚMERO PRIMO
Comprobamos que hay infinitas parejas de números primos que SÍ dan como resultado un número que NO es primo, hay infinitos contraejemplos: 3+3, 3+5, 3+7, 3+11, 3+13, 3+17.....
Por lo que podemos concluir que no se satisfacen TODAS las atribuciones veritativas y que el enunciado es una contradicción: su valor es FALSO.

Mire yo le colaboro con el último si usted muestra la resolución del ejercicio 3 que es prácticamente igual al primer ejercicio que resolví en la publicación anterior.
De lo contrario yo pienso que lo que pongo usted no lo entiende o no me estoy explicando bien.
Ponga también de su parte, " la práctica hace al maestro " !!!

Sean los puntos consecutivos :
A..................B...............C.............................D
Dato :
BD - AB = 2BC
Demostrar que AC = CD
Solución
Del gráfico BD = BC + CD , también AB = AC - BC
Se reemplaza en el dato :
BC + CD - (AC - BC ) = 2BC
Se opera :
2BC + CD - AC = 2BC
CD - AC = 0
==> CD = AC .... demostrado
Tengo que derivar está función: 4√3x2 -1 ⁄ ∛5x
Solo llegó a la parte de la función inversa es decir lo converti a: (3x2 )¼ - 1/ 5x⅓.
Apartir de ahí tengo dudas sobre el.proceso. no sé si igualar las fracciones agregando un 1 diciendo al primer término o aplicar la ley de la.potencia?

Este vídeo es identico... Derivada de una función 00 - Regla de la cadena
"Solo" tienes que derivar 4√3. x - (5x)^(-1/3).
P.D. Suponiendo que la primera x estuviera dentro de la raiz cuarta y fuera.. 4√(3x2), podemos extraer la x de la raiz y quedaría x.4√3
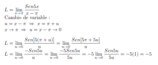
Ayuda.. la profe nos ayudo para los primeros pasos, pero no logro llegar a la respuesta que nos dijo que era -5π.
Por cierto, no puedo usar l'hopital porque la pregunta lo impide.


Un poco más extenso pero está bien es tu procedimiento, tus ideas vas muy bien .
Entiendo que haces x - pi ---> 0 luego multiplicas por 5 a ambos lados y queda 5(x-pi) ---> 0
Te cuento como lo hice de forma inmediata para reducir Sen(5pi + 5x) , lo que hice fue aplicar algo que en trigonometría se conoce como reducción al primer cuadrante , existen algunas reglas , técnicas para hacer las reducciones cuando se tiene una función F ( un cuadrantal (+/-) un ángulo) . Quizá ya lo conoces o releyendo te puede servir de mucho.
En cuanto al resultado final es lo que puse y lo que también haz obtenido que es -5 , NO es -5pi
Puedes consultar con algún software como Wolfram Alpha , adjunto imagen