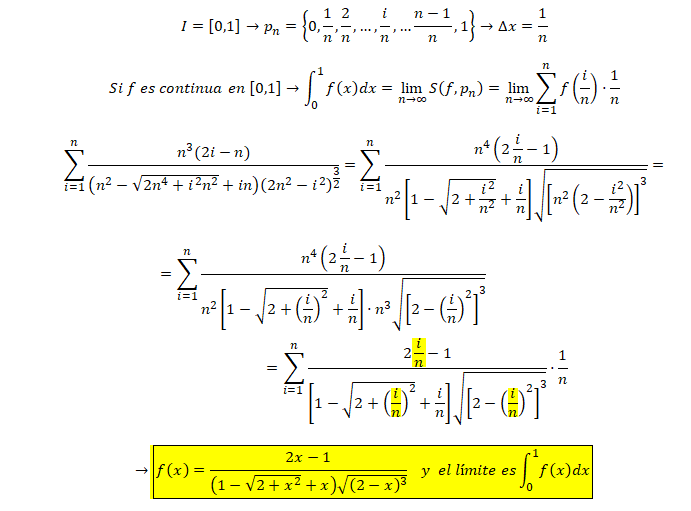
me podrían ayudar a demostrar
A es acotado superiormente, si y solo si R/A es acotado inferiormente, ¿es siempre verdadero?
R: numeros reales
En qué puntos no es derivable f(x)=√x ?
Mi respuesta: f(x) no es derivable en x<0.
Es correcto? Muchas gracias
Hola Unicoos hace rato que no veo algo de algebra y hay cosas que no recuerdo bien. Como por ejemplo este ejercicio:
Dados los puntos A(0,-3,-2) B(-5,0,4) C(x,y,z). Determine las coordenadas de C para que el vector →BC sea paralelo al vector →AB, del mismo sentido y tenga la mitad de su modulo(norma, magnitud.)
Gracias de antemano.

Observa que la expresión de la función es un producto, y que su segundo factor es positivo (es un cuadrado).
Luego, si consideras que la función toma valores positivos, observa que deben cumplirse dos condiciones:
a)
el primer factor debe ser positivo, a fin que la expresión tome valores positivos;
b)
el argumento del logaritmo debe ser estrictamente positivo, para que el logaritmo esté definido.
Luego, considera cada condición por separado:
a)
1 - 20/r > 0, haces pasaje de término, y queda:
- 20/r > -1, haces pasaje de divisor como factor y tienes dos opciones:
1)
si r > 0 (observa que no cambia la desigualdad), queda:
- 20 > - r, haces pasajes de términos, y queda:
r > 20,
luego, consideras las dos inecuaciones remarcadas y tienes el intervalo:
I1 = (20,+∞);
2)
si r < 0 (observa que la renta sería negativa, observa que si cambia la desigualdad), y queda:
- 20 < - r, haces pasajes de términos, y queda:
r < 20,
luego, consideras las dos inecuaciones remarcadas y tienes el intervalo:
I2 = (-∞,0);
por lo tanto tienes que esta opción conduce a la unión de los dos intervalos remarcados;
b)
10 - 200/r > 0, haces pasaje de término, y queda:
- 200/r > - 10, haces pasaje de divisor como factor y tienes dos opciones:
1)
si r > 0 (observa que no cambia la desigualdad), queda:
- 200 > - 10r, haces pasajes de términos, y queda:
10r > 200, divides por 10 en ambos miembros (observa que no cambia la desigualdad), y queda:
r > 20,
luego, consideras las dos inecuaciones remarcadas y tienes el intervalo:
I1 = (20,+∞);
2)
si r < 0 (observa que la renta sería negativa, observa que si cambia la desigualdad), y queda:
- 200 < - 10r, haces pasajes de términos, y queda:
10r < 200, divides por 10 en ambos miembros (observa que no cambia la desigualdad), y queda:
r < 20,
luego, consideras las dos inecuaciones remarcadas y tienes el intervalo:
I2 = (-∞,0);
por lo tanto tienes que esta opción conduce a la unión de los dos intervalos remarcados.
Luego, como las condiciones señaladas (a) (b) deben cumplirse simultáneamente, y ambas opciones conducen a los mismos intervalos, entonces, para que la expresión de la función esté definida, plantea para el dominio de la función:
D = I1∪ I2 = (-∞,0) u (20,+∞).
Luego, si trabajas con rentas positivas exclusivamente, tienes que el dominio de la función es el segundo intervalo remarcado, y queda:
D = (20,+∞).
Luego, para valores de r muy grandes (r tiende a +infinito) tienes que:
1 - 20/r tiende a: 1- 0 = 1;
10 - 200/r tiende a: 10 - 0 = 10;
luego, tienes que la función D(r) tiende a: 1*ln2(10) = 1*( ln(10) )2 ≅ 5,3019.
Queda que recurras a un graficador para completar el ejercicio.
Espero haberte ayudado.
Ayuda con este problema: Suponga que un tanque cilíndrico contiene inicialmente V0 galones de agua que se drena (a través de un orificio en
el fondo) en T min. Utilice la ley de Torricelli para mostrar que el volumen de agua en el tanque después de t<=Thola buenas , tengo una duda con un limite que es el siguiente :
resuelve el limite usando Ln : limite de cuando x tiende a 0 de la función (sen x/x) ^1/x^2
gracias.
Hola, tengo duda con un ejercicio de límites de funciones trigonométricas. Lim x→0 (x4 sen(1/x)) . Espero que puedan ayudarme, gracias!