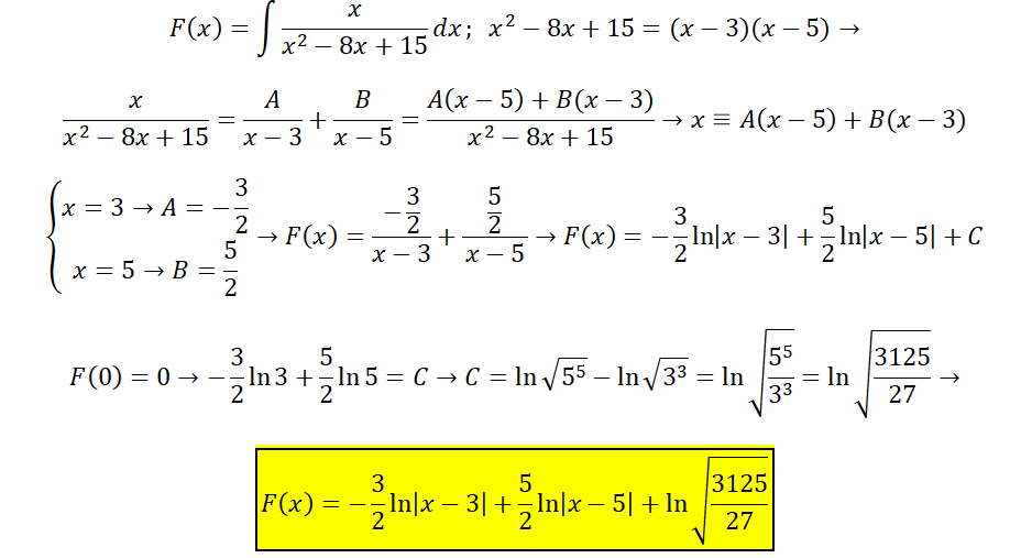
hola gente, tengo una duda, me piden la primitiva que pasa por el origen de
f(x)=x/(x^2-8x+15)
se que tengo que integrarlo y con esa funcion, evaluarla en el punto (0,0)
pero no logro integrar, a lo que llego es a esto
∫x/(1+[x-4]^2) dx
desde ya muchas gracias y espero pronta respuesta
Hola! Podrían ayudarme a entender este ejercicio. Sólo no entiendo por qué en la integral se puso √2 - 1 y no ln(√2 - 1)
Enunciado: Encuentre el área comprendida entre las curvas y = ex +1 y y = cosh(x).
Muchas gracias!
Hola, no entiendo como pasar un número decimal periódico a fracción, me pueden ayudar? Es nivel de 3º de la Eso

Fracción generatriz de un decimal periódico puro
aca tienes los videos donde lo explica :D miralos que esta muy claro la forma.
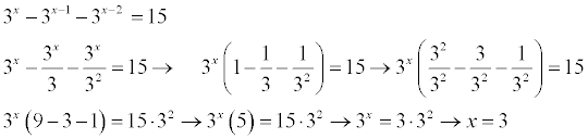
¿Cómo podría hacer esta ecuación exponencial?
3x-3x-1-3x-2 =15
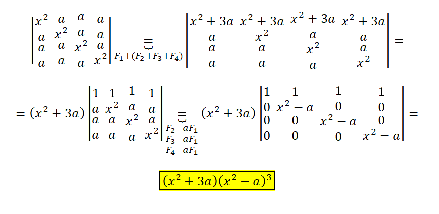
Buenas tardes, me preguntaba cómo se hacen las "ecuaciones" dentro de un determinante. Por ejemplo, este ejercicio:
Averiguar el número de soluciones.
¡Muchas gracias!
Por favor ayudadme con este ejerció:
Una urna 1, contiene 3 bolas blancas, 2 rojas y 1 negra. Otra urna 2, contiene 2 bolas blancas, 3 rojas y 3 negras. Lanzamos una moneda al aire; si sale cara, extraemos una bola de la urna 1 y si sale cruz, sacamos una bola de la urna 2.
a) ¿Cual es la probabilidad de que la bola extraída sea roja?
b) Si sabemos que la extraída fue roja, ¿Cual es la probabilidad es que sea de la urna 1?