Buenas, una pregunta:
¿Cuales son los miembros y terminos de una ecuacion?
En ecuaciones de primer grado, estoy en 1er Año de secundaria.
Gracias.

Tomemos una ecuación como ejemplo:
3x - (2x - 6) = 4x +3.
Se llaman miembros a las expresiones que se encuentran a los lados del signo de igualdad, y en este ejemplo tienes:
Primer miembro: 3x - (2x - 6),
Segundo miembro: 4x + 3.
Se llaman términos a las expresiones separadas por signos de suma o de resta que no estén dentro de agrupamientos, y en este ejemplo tienes (observa que remarcamos los signos que separan términos):
3x - (2x - 6) = 4x +3,
y en este ejemplo tienes:
Primer término del primer miembro: 3x,
Segundo término del primer miembro: (2x - 6),
Primer término del segundo miembro: 4x,
Segundo término del segundo miembro: 3;
y observa que en el agrupamiento tienes dos términos:
Primer término del agrupamiento: 2x,
Segundo término del agrupamiento: 6.
Espero haberte ayudado.

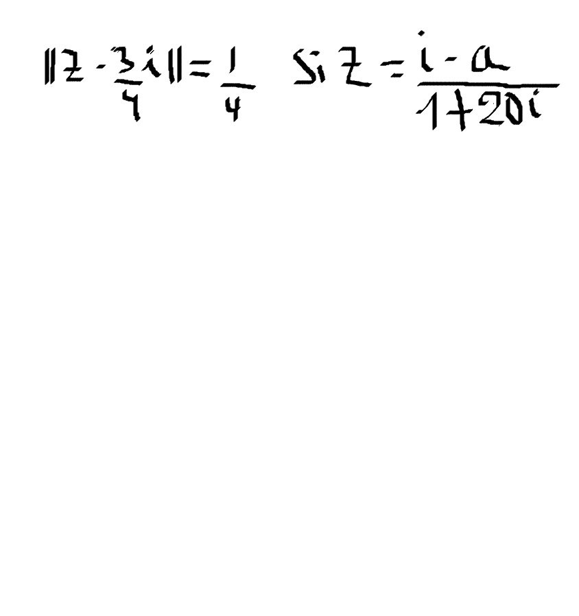
Tienes la ecuación:
|z - (3/4)i| = 1/4, multiplicas en ambos miembros de la ecuación por 4, y queda:
4*|z - (3/4)i| = 1, introduces el factor real (observa que es positivo) en la expresión del módulo, y queda:
|4*( z - (3/4)i )| = 1, distribuyes en el argumento del módulo, y queda:
|4*z - 3i| = 1 (1), que es una ecuación equivalente a la que tienes en el enunciado.
Luego, tienes la expresión del número complejo z, por lo que puedes plantear:
4*z - 3i = sustituyes la expresión que tienes en tu enunciado:
= 4*(i - a)/(1+20i) - 3i = distribuyes en el numerador del primer término:
= (4i - 4a)/(1+20i) - 3i = extraes denominador común:
= ( 4i - 4a - 3i(1+20i) )/(1+20i) = distribuyes el tercer término del numerador:
= ( 4i - 4a - 3i + 60 )/(1+20i) = agrupas términos reales y términos imaginarios en el numerador:
= ( (-4a+60) + 1i )/(1+20i) (2).
Luego, sustituyes la expresión señalada (2) en la ecuación señalada (1), y queda:
| ( (-4a+60) + 1i )/(1+20i) | = 1,
aplicas la propiedad del módulo de una división, y queda:
|(-4a+60) + 1i| / |1+20i| = 1,
resuelves el denominador, y queda:
|(-4a+60) + 1i| / √(401) = 1,
haces pasaje de divisor como factor, y queda:
|(-4a+60) + 1i| = √(401),
expresas el primer miembro en función de la parte real y de la parte imaginaria de su argumento, y queda:
√( (-4a+60)2 + 1 ) = √(401),
elevas al cuadrado en ambos miembros, y queda:
(-4a+60)2 + 1 = 401,
desarrollas el binomio elevado al cuadrado, y queda:
16a2 - 480a + 3600 + 1 = 401,
haces pasaje de término, reduces términos semejantes, y queda:
16a2 - 480a + 3200 = 0,
divides en todos los términos de la ecuación por 16, y queda:
a2 - 30a + 200 = 0,
que es una ecuación polinómica cuadrática cuyas soluciones son:
a)
a = 10,
b)
a = 20.
Solo queda que reemplaces valores en la expresión del número complejo z, y verifiques que se cumple la ecuación que tienes en el enunciado.
Espero haberte ayudado.
Buenas, tengo una duda:
Si en una funcion, encuentro la primera derivada y al igualarla a 0 me da una raiz negativa, cómo puedo analizar en que intervalos crece y decrece?

Prácticamente igual al anterior que pusiste sino que acá noto que el eje de giro es x=1 a diferencia del anterior que era x=2
Las expresiones para el radio y altura del cascarón son correctos :
Radio = 1-x
Altura = 2-x^2 -x^2 = 2 - 2x^2
La integral debe ir desde x=-1 hasta x=1 , ese detalle debes corregir.
Es una integral sencilla debes obtener V_total = 16*pi / 3
La integral desde - 1 hasta 1 ya da la integral total no hay que multiplicar por 2 ni nada por el estilo.
En cuanto a la simetría voy a aclarar un poco

En la imagen que pongo Se observa que las regiones S1 y S2 son totalmente congruentes , la recta y=1 actúa como un espejo entonces hay simetría respecto a esta recta , de ello se deduce que el volumen generado por S2 al girar alrededor de x=a genera el mismo volumen que S1 al girar alrededor de x=a
Esto lo que se tomó por hecho en el ejercicio anterior (se hizo rotar la región S2 alrededdor de x=2 ) por eso hable de la simetría y multipliqué por 2
Entonces esa simetría de la que hablas en tu solución no está bien dada , si quieres aplicar la simetría te enfocas en la región S1 o en la región S2 haces girar cualquiera de ellas y luego multiplicas por 2 .
Por ejemplo para S2 , la región de amarillo :
altura del cascarón = 1 - x^2
radio del cascarón = 1 - x
la integral vas desde x = -1 hasta x=1
Pero no hay que complicarse la vida que como dije al inicio con una integral sencilla se obtiene el volumen total.

En este link pongo otro ejemplo http://sketchtoy.com/68360809
Con respecto a la imagen del link :
Observa que para la simetría no es suficiente que las regiones sean congruentes sino que la recta que es eje de simetría (respecto al cual se "mide" la simetría) debe actuar como si fuera un espejo .
Si se gira S1 o S2 respecto a un eje vertical x=1 NO se van a obtener resultados iguales (se obtienen volúmenes diferentes) lo cual puedes comprobar con los cálculos
S1 y S2 son simétricos respecto al eje Y , pero eso no sirve de nada para este ejercicio , sólo a modo de aclaración en cuanto a simetrías .
A modo práctico
Si el eje de giro es vertical , el eje de simetría debe ser horizontal .
Si el eje de giro es horizontal , el eje de simetría debe ser vertical.
Esto si quieres aplicar simetrías que en algunos casos es muy conveniente facilita los cálculos.
sean los vectores u(2, 5) y v(-10, k)
calcular el valor de k para que los vectores formen un angulo de 60 grados
Calcular la proyección del vector v sobre u

Puedes plantear el producto escalar, en función de las componentes de los vectores:
u•v = <2,5>•<-10,k> = 2*(-10) + 5*k = -20 + 5*k (1).
Luego, puedes plantear los módulos de los vectores:
|u| = √(22+52) = √(4+25) = √(29),
|v| = √( (-10)2+k2 ) = √(100+k2).
Luego, puedes plantear el producto escalar, en función de los módulos de los vectores y del coseno del ángulo determinado por ellos:
u•v = |u|*|v|*cosα,
sustituyes la expresión señalada (1) en el primer miembro, sustituyes las expresiones de los módulos de los vectores y la medida del ángulo determinado por ellos, y queda:
-20 + 5*k = √(29)*√(100+k2)*cos(60°),
asocias raíces y reemplazas el valor del último factor en el segundo miembro, y queda:
-20 + 5*k = √( 29*(100+k2) )*(1/2),
multiplicas por 2 en todos los términos de la ecuación, y queda:
-40 + 10*k = √( 29*(100+k2) ),
elevas al cuadrado en amos miembros de la ecuación, y queda:
(-40 + 10*k)2 = 29*(100+k2),
desarrollas expresiones en ambos miembros, y queda:
1600 - 800*k + 100*k2 = 2900 + 29*k2,
haces pasajes de términos, reduces términos semejantes, ordenas términos, y queda:
71*k2 - 800*k - 1300 = 0,
que es una ecuación polinómica cuadrática cuyas soluciones son:
1)
k1 = ( 800 - √(1009200) )/142 ≅ -1,4408;
luego, la expresión de la proyección del vector v sobre el vector u:
Proyu(v) = |v|*cosα,
luego sustituyes, y queda:
Proyu(v) = √(100+k12)*(1/2), y solo queda que reemplaces el valor remarcado y hagas el cálculo.
2)
k2 = ( 800 + √(1009200) )/142 ≅ 12,7084;
luego, la expresión de la proyección del vector v sobre el vector u:
Proyu(v) = |v|*cosα,
luego sustituyes, y queda:
Proyu(v) = √(100+k22)*(1/2), y solo queda que reemplaces el valor remarcado y hagas el cálculo.
Espero haberte ayudado.
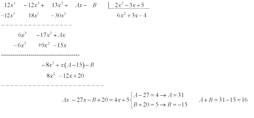
Buenas tengo estos ejercicios intente resolver por el metodo de horner pero no logro resolver el problema alguien me puede guiar en como puedo resolverlos? solo el 9 y 10 o algun lugar donde pueda ver videos que tengan similares ejercicios por favor se los agradezco
Para hacer la inversa de una matriz. Si es una matriz de 2x2, en la adjunta donde hay que cambiar el signo?
Gracias 😊