Foro de preguntas y respuestas de Matemáticas

logo beUnicoos
Los foros de unicoos se han unificado en nuestra nueva plataforma beUnicoos. Para dejar nuevas preguntas deberás hacerlo allí, donde además podrás encontrar nuevas asignaturas y herramientas para ayudarte más con tus estudios.

  • icon

    Alejandro Expósito
    el 15/10/17
    flag

    Efectúa (ME LO PODRIAN EXPLICAR?)

    √2•(√3-√2)

    √7•(√3+√5)

    √3•(3√2+2√2/5)

    -√5•(2√3-√3/3)

    (√9√16)•√10

    6√(√15)3÷(√5)3

    ∛2•(∛48/6√12+6√3/3)










    replythumb_up0 voto/sflag
    icon

    Ángel
    el 15/10/17

    √2•(√3-√2)

    Aplicas la propiedad distributiva:

    √2•√3 - √2√2

    Propiedad de las potencias:

    √(2*3) - √(2*2)

    Efectúa multiplicaciones:

    √6 - √4

    Resuelve las raíces exactas:

    √6 - 2


    thumb_up0 voto/sflag
    icon

    Ángel
    el 15/10/17

    6√(√15)3÷(√5)3

    Pasamos las raíces en forma de potencia:

    ((151/2)3)1/6÷(51/2)3

    Aplicamos propiedad de las potencias. Multiplicamos los exponentes:

    153/12÷53/2

    Convertimos el 15 en 3*5:

    (3*5)3/12÷53/2

    Propiedad de las potencias:

    (33/12*53/12)÷53/2

    Agrupamos bases iguales:

    33/12÷(5-3/12*53/2)

    Propiedad de potencias:

    33/12÷(5-3/12+3/2)

    Sumamos las fracciones del exponente del 5:

    33/12÷515/12

    Simplificamos exponentes:

    31/4÷55/4

    Pasamos a forma de raíz:

    4√3 ÷ 4√55

    Propiedad de raíces:

    4√(3÷55)

    thumb_up0 voto/sflag
    icon

    Ángel
    el 15/10/17

    (√9√16)•√10

    Propiedad de raíces:

    18√16*√10

    Pasamos a común índice:

    18√16*18√109

    Agrupamos dentro de la raíz (propiedad):

    18√(16*109)

    Efectuamos la operación de dentro de la raíz:

    18√16000000000

    thumb_up0 voto/sflag
    icon

    Alejandro Expósito
    el 16/10/17

    graciaaas

    thumb_up0 voto/sflag
    icon

    Alejandro Expósito
    el 16/10/17

    no entiendo este proceso resuelve las raíces exactas

    thumb_up0 voto/sflag
    icon

    Ángel
    el 17/10/17

    Si tenemos √6-√4 intentaremos quitar alguna raíz si alguna fuera exacta

    Si haces √6 con la calculadora no será exacta

    Si haces √4 con la calculadora será exacta, es igual a 2


    Entonces tenemos que √6-√4=√6-2

    thumb_up0 voto/sflag
    icon

    Alejandro Expósito
    el 17/10/17

    entonces la raíz abarca el 6 o tambien el -2

    thumb_up0 voto/sflag
    icon

    Alejandro Expósito
    el 17/10/17

    lo digo porque seria en cualquier caso

    ¿√6-2=√4=√2²=2?






    thumb_up0 voto/sflag
    icon

    Ángel
    el 18/10/17

    Nos aclararemos mejor utilizando paréntesis ;)

    (√6)-(√4)= 

    (√6)-2

    YA NO SE PUEDE SIMPLIFICAR MÁS, LA RAÍZ ABARCA EL 6 NADA MÁS.

    thumb_up0 voto/sflag
  • icon

    Luis
    el 15/10/17

    Hola, me podrían resolver el sistema que resulta de ese ejercicio ya que me da 3 parámetros?

    replythumb_up0 voto/sflag
    icon

    Antonius Benedictus
    el 15/10/17


    thumb_up0 voto/sflag
    icon

    Luis
    el 15/10/17

    Y el resultado -5a-3b+7c=0 eso es una ecuación. Como resuelvo esa ecuación para saber los parámetros de a, b y c? 

    thumb_up0 voto/sflag
    icon

    Rodrigo Ivan Saez
    el 15/10/17

    la ultima ecuacion lo que te da realmente es la condicion (o relacion entre a,b y c) para que el vector(a,b,c) sea combinacion lineal de los otros 2 vectores, con eso ya se considera resuelto, porque obviamente no puedes hallar una forma numerica para (a,b,c), pues tiene infnitas soluciones

    thumb_up0 voto/sflag
  • icon

    Alfonso Sampedro
    el 15/10/17

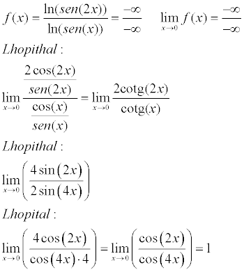
    Alguien me puede ayudar con este límite que tiende a 0? Gracias (me refiero al c)

    replythumb_up0 voto/sflag
    icon

    César
    el 15/10/17


    thumb_up1 voto/sflag
  • icon

    Alejandro Expósito
    el 15/10/17

    haz estas operaciones:(me lo podrían explicar gracias)

    7,3•104• 5.25•10-3

    8,91•10-5• 5,7•1014

    8,3•10• 5,37•102

    9,5•10-6•3,2•103





    replythumb_up0 voto/sflag
    icon

    Ángel
    el 15/10/17

    7,3•104• 5.25•10-3

    Multiplicamos la parte decimal y en notación científica por separado:

    (7,3*5,25)*(104*10-3)

    Aplicamos propiedades de las potencias:

    (38,325)*(104-3)=

    38,325*101=

    383,25


    thumb_up0 voto/sflag
    icon

    Ángel
    el 15/10/17

    8,91•10-5• 5,7•1014

    Multiplicamos la parte decimal y en notación científica por separado, aplicamos las propiedades de las potencias y obtenemos:

    50,787*10-5+14=

    50,787*109=

    5,0787*1010

    thumb_up0 voto/sflag
    icon

    Ángel
    el 15/10/17

    8,3•10• 5,37•102

    Multiplicamos la parte decimal y en notación científica por separado, aplicamos las propiedades de las potencias y obtenemos:

    (44,571)*106+2=

    44,571*108=

    4,4571*109

    thumb_up0 voto/sflag
    icon

    Ángel
    el 15/10/17

    9,5•10-6•3,2•103

    Multiplicamos la parte decimal y en notación científica por separado, aplicamos las propiedades de las potencias y obtenemos:

    (30,4)*10-6+3=

    30,4*10-3=

    0,0304

    thumb_up0 voto/sflag
  • icon

    B
    el 15/10/17

    Enunciado: calcular la derivada y representar. Gracias


    replythumb_up0 voto/sflag
    icon

    Ángel
    el 15/10/17

    f´(x)= { [(ex-ex *x] - [(ex-ex) *1] } ÷x2

    f´(x)= { (e-ex) *x] - ex+ex÷x2

    f´(x)= (ex-exx - ex+ex÷x2

    f´(x)= (-exx + ex÷x2

    f´(x)= [-ex(x-1)] ÷x2


    thumb_up0 voto/sflag
    icon

    B
    el 15/10/17

    no entiendo como hiciste la derivada de ex -ex

    thumb_up0 voto/sflag
    icon

    Ángel
    el 15/10/17

    Observa que se deriva por separado ex y ex  por que componen una resta...


    Derivada de ex: ten en cuenta que el número e es un número (valga la redundancia) y ex se deriva igual que 3x por ejemplo

    Por lo tanto, la derivada de ex es (igual que análogamente la derivada de 3x es 3)


    Derivada de ex=  ex*1= ex


    Por lo tanto  la derivada de ex -ex   es   e-ex


    thumb_up0 voto/sflag
    icon

    Ángel
    el 15/10/17


    thumb_up0 voto/sflag
    icon

    Ángel
    el 15/10/17


    thumb_up0 voto/sflag
    icon

    Ángel
    el 15/10/17

    Como no queda claro en tu enunciado si hay que representar la función o la función derivada te envié las dos.

    thumb_up0 voto/sflag
  • icon

    Paula Sánchez
    el 15/10/17

    Hola!! Me podrían resolver el apartado B de esta actividad de matrices? GRACIAS

    replythumb_up0 voto/sflag
    icon

    César
    el 15/10/17


    thumb_up0 voto/sflag
  • icon

    AlexN Ciesnowski
    el 15/10/17

    En una momia se han encontrado 1,4 g de Carbono 14,y se sabe que la persona en vida tendria 3g ¿de hace cuantos años es la momia?

    Nota: 

    para la dotación se utiliza la formula

    M=M elevado a "o" por 0,866 elevado a "t"

    con M=masa final, M elevado a "o"=masa original, "t"=tiempo en miles a años.


    Gracias de antemano ;)

    replythumb_up0 voto/sflag
    icon

    Ángel
    el 15/10/17

    1,4= 1,43*0,866t

    1,4-2=0,866t

    ln 1,4-2= ln 0,866t

    -2*ln 1,4= t*ln0,866

    t=(-2*ln1,4)/ln0,866

    t=(-2*0,3365)/(-0,144)

    t= 4,67839 miles de años ≈  4678 años tiene la momia aproximadamente.


    thumb_up1 voto/sflag
  • icon

    Ines9
    el 15/10/17

    Hola me podéis ayudar con esta duda existencial que tengo:

    Se lanza un dado dos veces. Calcula la probabilidad de que en  la segunda tirada se obtenga un valor mayor que en la primera.

    besos para el que me ayuda. 

    replythumb_up0 voto/sflag
    icon

    Ángel
    el 15/10/17

    Laplace dice que:

       Probabilidad = casos favorables/casos posibles


    Casos favorables: (5,6), (4,5), (4,6), (3,6), (3,5),   (3,4), (2,6), (2,5), (2,4), (2,3),    (1,6), (1,5), (1,4), (1,3), (1,2)   =  15

    Casos posibles= 62=36


     Probabilidad = casos favorables/casos posibles  =  15/36 = 5/12


    thumb_up0 voto/sflag
  • icon

    Alfonso Sampedro
    el 15/10/17

    Hola chicos, una pregunta teorica que se me ha pasado por la cabeza: ¿para que una funcion sea derivable debe ser continua en todos los reales? Gracias

    replythumb_up0 voto/sflag
    icon

    Ángel
    el 15/10/17

    Sí. La continuidad es una condición NECESARIA para la derivabilidad en los reales. Si  f (x) es derivable, SEGURO es continua.


    thumb_up1 voto/sflag
    icon

    Antonius Benedictus
    el 15/10/17


    thumb_up1 voto/sflag
  • icon

    Víctor López
    el 15/10/17

    Buenos días. ¿Podrían ayudarme con este ejercicio de continuidad? ¡Muchas gracias!

    replythumb_up0 voto/sflag
    icon

    Antonius Benedictus
    el 15/10/17


    thumb_up0 voto/sflag