Podéis ayudarme con esta ecuación de radicales:
∛(es raíz cuarta en vez de tercera) de (3x+1) = 4 - ∛(es raíz cuarta en vez de tercera) de (3x + 1).
gracias
Hola buenas, no consigo resolver este ejercicio. En las dos últimas preguntas donde pone "¿Cuántos libros han leído como máximo el 20% de los que han leído menos libros?" y "¿Cuántos libros han leído como mínimo el 20% de los que han leído más libros?" Alguien me puede ayudar? Gracias.

¡Hola! Nos encantaría ayudarte, pero no solemos responder dudas universitarias que no tengan que ver específicamente con los vídeos que David Calle ha grabado como excepción. O de otras asignaturas que no sean Matemáticas, Física y Química. Lo sentimos de corazón… Esperamos que lo entiendas.
Ojalá algún unicoo universitario se anime a ayudarte (de hecho, lo ideal es que todos los universitarios intentarais ayudaros los unos a los otros).
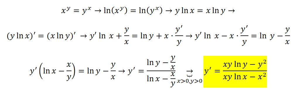
hola gente, tengo una duda. tengo que hayar la primitiva de Fx= Lnx.cosx
hago la integral por partes, usando a u=lnx y a dv=cosx.dx
llego a Lnx.senx-∫senx/x dx.
con esa ultima parte, busque y me dicen por ahi que es Six. una funcion que nunca la vi, ni la dieron en el curso.
en resumen encontre que ∫senx/x dx =Six
pero, no hay otra forma de resolver esa integral? al menos la parte que estoy diciendo. haciendo por partes de nuevo se me cancela toda la integral, ayudaaaa :(

¡Hola! Nos encantaría ayudarte, pero no solemos responder dudas universitarias que no tengan que ver específicamente con los vídeos que David Calle ha grabado como excepción. O de otras asignaturas que no sean Matemáticas, Física y Química. Lo sentimos de corazón… Esperamos que lo entiendas.
Ojalá algún unicoo universitario se anime a ayudarte (de hecho, lo ideal es que todos los universitarios intentarais ayudaros los unos a los otros).
es aplicacion de la integral me parece. En este video hay un ejemplo, solo que para una recta https://www.youtube.com/watch?v=CSqwRfpY-wc
Ten en cuenta que tu funcion parabola seria de la forma y= yo -ax^2, (donde yo es la altura a la que esta en el punto O, en donde x=0).

3)
Observa que tienes tres opciones:
a)
Comisiones sin Carlos y sin María (observa que tienes ocho personas y debes elegir cinco para formar la comisión): Na = C(8,5).
b)
Comisiones con Carlos, pero sin María (observa que tienes ocho persona, y debes elegir cuatro para completar la comisión): Nb = C(8,4).
c)
Comisiones sin Carlos, pero con María (observa que tienes ocho persona, y debes elegir cuatro para completar la comisión): Nc = C(8,4).
Luego, sumas todos los resultados y tienes:
N = Na + Nb + Nc= C(8,5) + 2*C(8,4) comisiones en las que no están juntos Carlos y María.
4)
Indicamos a los chicos con V y a las chicas con M.
a)
1°)
Elegimos el orden para sentar a los grupos (observa que tienes dos opciones: VVMMMM y MMMMVV): N1 = 2.
2°)
Ordenamos a los chicos: N2 = P(2) = 2! = 2.
3°)
Ordenamos a las chicas: N3 = P(4) = 4! = 24.
Luego, por el principio de multiplicación tienes:
N = N1*N2*N3 = 2*2*24 = 96 maneras de sentar a los chicos juntos y a las chicas juntas.
b)
1°)
Observa que tienes dos opciones para elegir los lugares que ocuparán los chicos y las chicas (VMMMVM y MVMMMV): N1 = 2.
2°)
Ordenamos a los chicos: N2 = P(2) = 2! = 2.
3°)
Ordenamos a las chicas: N3 = P(4) = 4! = 24.
Luego, por el principio de multiplicación tienes:
N = N1*N2*N3 = 2*2*24 = 96 maneras de sentar a los chicos en forma que queden tres chicas sentadas entre ellos.
7)
a)
Observa que tienes en total once números, de los cuáles debes elegir tres, y sin orden, porque el producto de números es conmutativo: N = C(11,3) = 165.
b)
Observa que debes elegir un número positivo y dos negativos, para que el producto sea positivo: N = C(5,1)*C(6,2) = 5*15 = 75.
Espero haberte ayudado.