Hola, hice este ejercicio el año pasado y ahora tengo un ejercicio similar pero no recuerdo como llegué al -1, he buscado ejercicios similares y todos al contrario de este tienen y=mx+n, me podriais ayudar?

Imagina que tu determinante le llamamos A (para ahorrarme escribirlo entero)
Si multiplicas a la primera fila por "a", a la segunda por "b" y a la tercera por "c", te quedará
|abc a² 1|
1/(abc) . |abc b² 1|=0 porque la primera columna es proporcional a la primera (si multiplicas a la tercera columna por abc, obtienes la primera)
|abc c² 1|
P.D. no podemos multiplicar por a,b,c por la cara. Para ello debemos dividir fuera entre a,b y c.. Por eso lo de 1/(abc)
Hola, el enunciado de este ejercicio dice demuestra si los vectores U y V forman base o no. Siendo el vector u =(1,0,1) y V=(1,1,1)

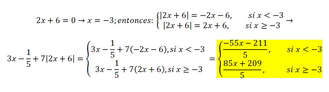
Comienza por desarrollar el valor absoluto:
|2x+6| = |2*(x+3)| = |2|*|x+3| = 2*|x+3| =
2*(x+3) = 2*x + 6 si x+3 ≥ 0, de donde tienes: x ≥ -3
2*( -(x+3) ) = -2*x - 6 si x+3 < 0, de donde tienes: x < -3.
Luego, tienes la expresión de tu enunciado, que queda desarrollada con dos ramas:
f(x) = 3*x - 1/5 + 7*|2x+6| =
3*x - 1/5 + 7*(2*x + 6) si x ≥ -3
3*x - 1/5 + 7*(-2*x - 6) si x < -3,
distribuyes los últimos términos de las expresiones, reduces términos semejantes, y queda:
f(x) = 3*x - 1/5 + 7*|2x+6| =
17*x + 209/5 si x ≥ -3
-11*x - 211/5 si x < -3.
Espero haberte ayudado.

¡Hola! Nos encantaría ayudarte, pero no solemos responder dudas universitarias que no tengan que ver específicamente con los vídeos que David Calle ha grabado como excepción. O de otras asignaturas que no sean Matemáticas, Física y Química. Lo sentimos de corazón… Esperamos que lo entiendas.
Ojalá algún unicoo universitario se anime a ayudarte (de hecho, lo ideal es que todos los universitarios intentarais ayudaros los unos a los otros).


Yo no soy universitario pero participo en las olimpiadas de informática, el árbol generador de peso mínimo lo puedes hacer con algoritmo para encontrar el minimum spanning tree (Kruskal o Prim).
Esta es mi implementación más eficiente de Kruskal (https://gist.github.com/izanbf1803/fceff2c3fc1088fea8e6de36f7b86035), solo que dice el peso del MST, no sus nodos. Ahora no tengo tiempo, pero si quieres, mañana modifico el código para que te de los nodos del MST.
En cuanto a las otras preguntas, mira en Wikipedia, no es muy complicado.