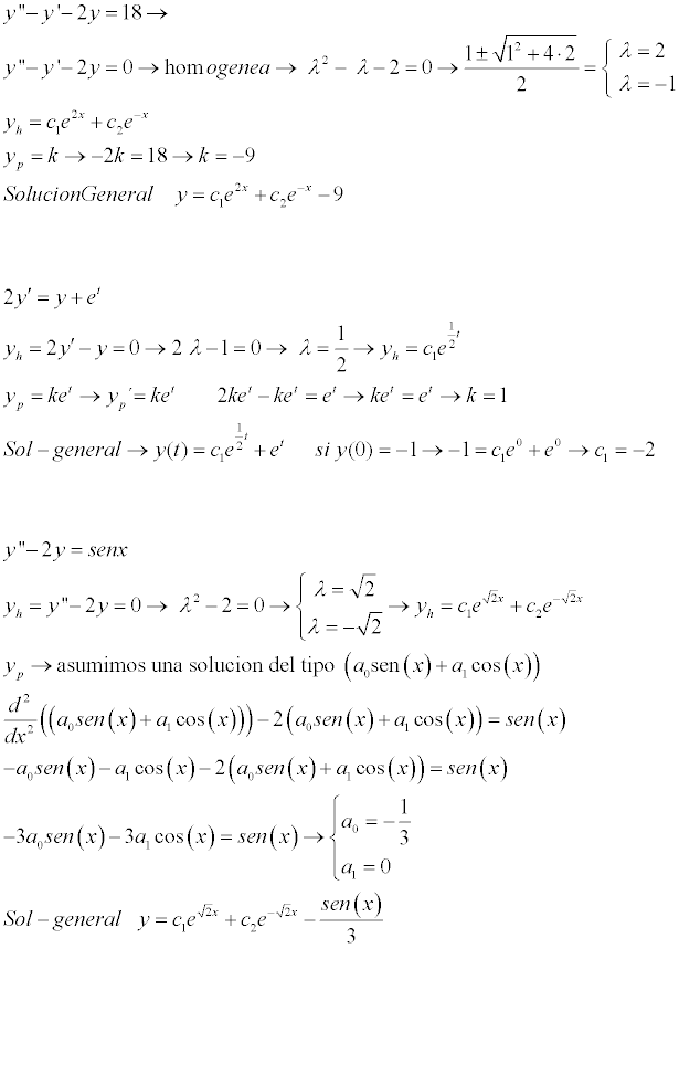
Hola, ayuda , cual es la solución general de estas ecuaciones diferenciales? Por favor
a) y"-y'-2y=18
b) 2y'=y+e^t y(0)=-1
c) y"-2y=senx
Gracias de antemano

¡Hola! Nos encantaría ayudarte, pero no solemos responder dudas universitarias que no tengan que ver específicamente con los vídeos que David Calle ha grabado como excepción. O de otras asignaturas que no sean Matemáticas, Física y Química. Lo sentimos de corazón… Esperamos que lo entiendas.
Ojalá algún unicoo universitario se anime a ayudarte (de hecho, lo ideal es que todos los universitarios intentarais ayudaros los unos a los otros).
Si r = 1 hablaremos de correlación positiva perfecta lo que supone una determinación absoluta entre las dos variables (en sentido directo):Existe una relación lineal perfecta ( con pendiente positiva).
https://www.uv.es/ceaces/base/descriptiva/coefcorre.htm
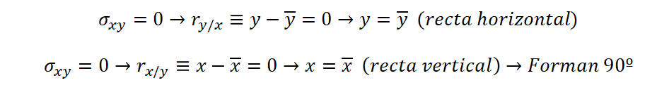
Creo que las rectas de regresión de X sobre Y e Y sobre X serían paralelas (0 grados)
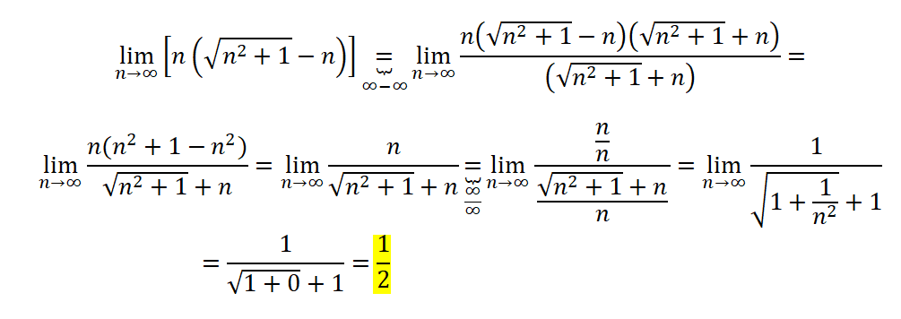
Hola Unicoos, si "uno elevado a infinito" se acerca al valor del número (e) "uno elevado a menos infinito" no es -e??? No lo entiendo.
Aquí os pongo mi ejercicio.
Hola Unicoos, si alguien me explica un poco el concepto de indeterminación al hacer límites sabré por qué factorizo en la ind 0/0 o por qué hay que multiplicar y dividir por el conjugado de la raíz en ∞-∞ , etc... Lo agradecería. MUCHAS GRACIAS
si sin(θ) = 3/5 cúal es el valor del sin(20) y del cos(20)?