Hola me pueden decir si he hecho bien este problema por favor. No me sale bien porque no se como averiguar el 1/5 del total si no me dan el total.

Puedes comenzar por llamar x a la cantidad total de canicas.
Luego, plantea las cantidades entregadas:
a Tales: (1/5)x (observa que quedan para repartir: x - (1/5)x = (4/5)x canicas),
a Arquímedes: (1/3)(4/5)x = (4/15)x,
a Pitágoras: 16.
Luego, plantea que la cantidad total de canicas es igual a la suma de las tres cantidades (observa que no te han sobrado canicas sin repartir):
x = 1/5)x + (4/15)y + 16, haces pasajes de términos, y queda:
x - (1/5)x - (4/15)x = 16, multiplicas en todos los términos por 15 (observa que se simplifican denominadores), y queda:
15x - 3x - 4x = 240, resuelves el primer miembro, y queda:
8x = 240, haces pasaje de factor como divisor, y queda:
x = 30 canicas.
Luego, las cantidades entregadas a los amigos quedan:
a Tales: (1/5)*30 = 6 canicas,
a Arquímedes: (4/15)*30 = simplificas = 4*2 = 8 canicas,
a Pitágoras: 16 canicas.
Espero haberte ayudado.

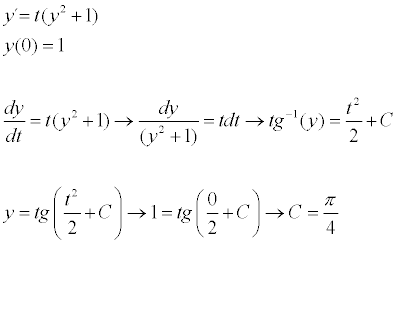
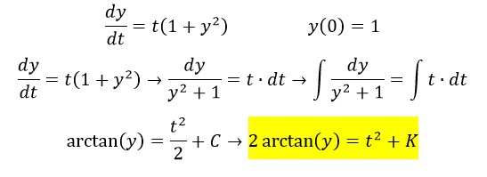
Planteas la expresión de la función derivada como cociente de diferenciales, y queda:
dy/dt = t*(y-1), con la condición inicial: y(0) = 0,
haces pasajes de factores y de divisores a fin de separar variables, y queda:
( 1/(y-1) ) = t*dt,
integras en ambos miembros, y queda (observa que el argumento del logaritmo es un valor absoluto) (*):
ln|y-1| = (1/2)*t2 + C, que es una solución general implícita de la ecuación diferencial),
luego evalúas para la condición inicial, y queda:
ln|-1| = 0 + C, resuelves el primer miembro, cancelas el término nulo en el segundo miembro, y queda: 0 = C,
luego reemplazas en la ecuación remarcada, cancelas el término nulo, y queda:
ln|y-1| = (1/2)*t2, que es la solución particular implícita de la ecuación diferencial para la condición inicial de tu enunciado.
(*)
Recuerda la expresión general de la solución de la integral de la función logarítmica natural:
∫ (1/x)*dx = ln|x| + Constante.
Espero haberte ayudado.

Te ayudo con la expresión de la función costo.
Comienza por designar a las dimensiones del contenedor: x (ancho), 2*x (largo), y (alto).
Luego, tienes para el volumen del contenedor:
x*2*x*z = 15 m3. resuelves y ordenas factores en el primer miembro, y queda:
2*x2*y = 15 m3 (1).
Luego, plantea la expresión de la superficie total de la base y de la tapa:
Sbyt = x*2*x +x*2*x = 2*x2 + 2*x2 = 4*x2;
luego, plantea la expresión para el costo correspondiente a la base y a la tapa del contenedor:
Cbyt = 15*4*x2 = 60*x2 (2).
Luego, plantea la expresión de la superficie total de las cuatro superficies laterales:
SL = 4*x*y,
luego, plantea la expresión del costo correspondiente a las cuatro superficies laterales del contenedor:
CL = 9*4*x*y = 36*x*y (3).
Luego, plantea la expresión del costo total:
CT = Cbyt + CL, sustituyes las expresiones señaladas (2) (3) y queda:
CT = 60*x2 + 36*x*y (4).
Luego, con las ecuaciones señaladas (1) (4) tienes el sistema:
2*x2*y = 15, haces pasajes de factores como divisores y queda: y = (15/2)*1/x2 (5),
CT = 60*x2 + 36*x*y;
luego sustituyes la expresión señalada (5) en la expresión de la función costo total, y queda:
CT = 60*x2 + 36*x*(15/2)*1/x2,
resuelves el segundo término de la expresión, y queda:
CT = 60*x2 + 270/x.
Luego, queda que derives, iguales a cero para plantear los puntos críticos, y evalúes a fin de determinar el mínimo de la función costo total.
Haz el intento, y si te resulta necesario no dudes en volver a consultar.
Espero haberte ayudado.
Ayuda con este ejercicio:
El agua sale de un tanque en forma de cono invertido a una velocidad de 10 000 cm3/min
y al mismo tiempo se bombea agua hacia el tanque a una tasa constante. El tanque tiene una
altura de 6 metros y el diámetro en la parte superior es de 4 metros. Si el nivel del agua
aumenta a una tasa de 20 cm/min cuando la altura del agua es 2 metros, encuentre la tasa a la
cual se está bombeando agua al tanque.

Tu ejercicio es de razon de cambio y puede que te ayude estos vídeos... Razón de cambio 01
A partir de ahí, me encantaría ayudarte, pero no respondo dudas universitarias que no tengan que ver específicamente con los videos que ya he grabado como excepcion. O de otras asignaturas que no sean matemáticas, física y química. Lo siento de corazón… Espero lo entiendas