alguien puede explicarme como se hacen este tipo de ejercicios que no los he visto en clases se que es del tipo mezclas con ecuaciones diferenciales entiendo el enunciado pero no se como calcularlo

Me encantaría ayudarte, pero no respondo dudas universitarias que no tengan que ver específicamente con los videos que ya he grabado como excepcion. O de otras asignaturas que no sean matemáticas, física y química. Lo siento de corazón… Espero lo entiendas
Ojalá algun unicoo universitario se anime a ayudarte (de hecho lo ideal es que todos los universitarios intentarais ayudaros los unos a los otros)
Buenas, me podrían explicar la manera o el dibujo que debería plantear para resolver esta razon de cambio?
Una mujer empieza a caminar hacia el norte a una velocidad de 1,2 m/s desde un punto P. Pasados 5 minutos un hombre, ubicado en un punto Q a 150 metros al oriente de P, empieza a caminar hacia el sur a una velocidad de 1,5 m/s. Encuentre la velocidad a la que crece la distancia entre las 2 personas 15 minutos después de que el hombre empiece a caminar.

Te sugiero este video, es muy muy parecido... Razón de cambio 01
A partir de ahí, me encantaría ayudarte, pero no respondo dudas universitarias
que no tengan que ver específicamente con los videos que ya he grabado como
excepcion. O de otras asignaturas que no sean matemáticas,
física y química. Lo siento de corazón… Espero lo
entiendas
Ojalá algun unicoo universitario se anime a ayudarte (de hecho lo ideal es que todos los universitarios intentarais ayudaros los unos a los otros)
En que falla el límite? Creo que vale 2, y no se puede usar l'hopital. Infinitesimos e infinitos sí es el 2
lim(x->0) senx/x = lim(x->0) x/x = lim(x->0) 1 = 1
https://www.unicoos.com/video/matematicas/1-bachiller/sucesiones-y-limites/infinitesimos-equivalentes/infinitesimos-equivalentes-01
¡Muy buenas! podrian ayudarme con estos dos ejercicios, me confunde mucho cuando existen 2 rectas paralelas y dos secantes:
Hola profe como resuelvo estos limites cuando x tiende al infinito?
Cos((xpi)/2)
Y
x(a^x)

Se trata de que DESPUES DE IR A CLASE (ver los vídeos relacionados con
vuestras dudas) enviéis dudas concretas, muy concretas. Y que nos enviéis
también todo aquello que hayais conseguido hacer por vosotros mismos. Paso a
paso, esté bien o mal. No solo el enunciado. De esa manera podremos saber vuestro
nivel, en que podemos ayudaros, cuales son vuestros fallos.... Y el trabajo
duro será el vuestro. Nos cuentas ¿ok? #nosvemosenclase ;-)
Me podrian ayudar con este limite (usando l'hopital)? Me da 1 y -1, pero estoy seguro que no es correcto
lim [1/(sec^2x)] - (1/x^2)
x→0
lim(x->0) [1/(sec2x)] - (1/x2)=
lim(x->0) cos2x - (1/x2)=
lim(x->0) (x2*cos2x -1)/ x2 -------L´Hopital------>
lim(x->0) (2x)*(cos2x) + (x2*2cosx)*(-senx)/ 2x -------L´Hopital------>
lim(x->0) [2cos2x +2x*2cosx*(-senx)] + { [(2x*2cosx+x2*(-2senx)]*(-senx) + x2*2cosx)*(-cosx) } / 2 =
[2cos20] / 2 = (2*1)/2 = 1
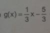
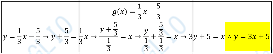
Se cambia g(x) por y
La función te queda
Y=(1/3)x-5/3
Se realiza la prueba para que una funcióntengaa inversa debe ser inyectiva
Si x1=x2 => g(x1)=g(x2)
Como
Esto es cierto entonces, puedes calcularla
Despejamos x
Y=(x-5)/3 la rescribes así ya que son fracciones homogéneas mismo denominados , hace pasaje de términos y queda
X=3y+5
El ultimo paso ess cambiar x por y
Y viceversa
Y=3x+5
La función inversa de g(x) es g^-1(x)= 3x+5