Holaaa!
Alguien me puede explicar la teoria de los conjuntos? Es que no he encontrado ningún video...
Gracias!!

Lo puedes hacer para cada desigualdad por separado:
1°)
Tienes en tu enunciado:
x < y, sumas x en ambos miembros, y queda:
2x < x + y, divides por 2 en ambos miembros, y queda:
x < (x + y)/2.
2°)
Tienes en tu enunciado:
x < y, sumas y en ambos miembros, y queda:
x + y < 2y, divides por 2 en ambos miembros, y queda:
(x + y)/2 < y.
Luego, con ambas desigualdades remarcadas, tienes:
x < (x + y)/2 < y.
Espero haberte ayudado.
Hola Antonio gracias por la ayuda pero no he logrado entender su respuesta ya que estan son actividades de comprensión y mi profesora quiere que justifiquemos la respuesta y gracias a tu respuesta yo solo logro entender el enunciado y no se como justificar la respuesta, gracias.

A ver si te ayudo.
1°)
Tienes en tu enunciado:
x < y, sumas x en ambos miembros (propiedad uniforme de las desigualdades para la suma), y queda:
2x < x + y, divides por 2 en ambos miembros (propiedad uniforme de la división por un número estrictamente positivo de las desigualdades), y queda:
x < (x + y)/2 (hasta aquí tienes probado que x es menor que la media aritmética entre x e y).
2°)
Tienes en tu enunciado:
x < y, sumas y en ambos miembros (propiedad uniforme de las desigualdades para la suma), y queda:
x + y < 2y, divides por 2 en ambos miembros (propiedad uniforme de la división por un número estrictamente positivo de las desigualdades), y queda:
(x + y)/2 < y (hasta aquí tienes probado que la media aritmética entre x e y es menor que y).
Luego, con ambas desigualdades remarcadas, plantea al doble desiguladad (observa que tienes probado que la media aritmética está comprendida entre x e y):
x < (x + y)/2 < y.
Espero haberte ayudado.

Comienza por tratar cada expresión por separado:
( -2√(a3) )-4 = simplificas el índice para de la raíz con el exponente para de la potencia = (a3)2 = multiplicas exponentes = a6 = 6√(a6*6) = 6√(a36)..
∛(a2) = multiplicas por 2 al índice de la raíz y al exponente de la potencia = 6√(a4).
Luego, plantea el producto en el denominador:
∛(a2)*6√(a-5) = sustituyes el primer factor = 6√(a4)*6√(a-5) = asocias raíces = 6√(a4*a-5) = sumas exponentes = 6√(a-1).
Luego, plantea la expresión de tu enunciado:
( -2√(a3) )-4 / ( ∛(a2)*6√(a-5) ) = sustituyes las expresiones remarcadas, y queda:
= 6√(a36) / 6√(a-1) = asocias raíces, y queda:
= 6√(a36*a-1) = sumas exponentes, y queda:
= 6√(a35) = descompones el argumento como producto de potencias, y queda:
= 6√(a30*a5) = distribuyes la raíz, y queda:
= 6√(a30)*6√(a5) = simplificas índice y exponente en el primer factor, y queda:
= a5*6√(a5).
Espero haberte ayudado.
Buenas, estoy en primero de ingeniería de telecomunicaciones y hay un tema de álgebra que se me ha atragantado un poco, este es el de parametrización de curvas. Lo cierto es que entiendo el concepto pero no se cómo hallar las ecuaciones paramétricas, cómo tengo que proceder y tal. He preguntado al profesor y he consultado libros pero no consigo entenderlo del todo. No he encontrado ningún vídeo sobre este tema en la web, les escribo para sugerirles que podría ser un buen tema a tratar en sus próximos vídeos ya que me consta que hay bastantes alumnos a los que tampoco les queda claro. Aprovecho también para felicitar y agradecer vuestro trabajo y esfuerzo.

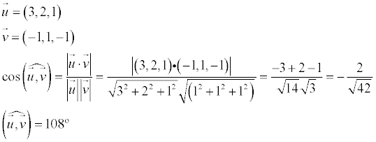
Has planteado muy bien hasta el valor del coseno del ángulo determinado por los dos vectores, pero de ahí en más debes corregir:
cosα = -2/( √(14)*√(3) ), asocias raíces en el denominador, y queda:
cosα = -2/( √(14*3) = -2/√(42).
Luego, plantea la identidad trigonométrica fundamental:
cos2α + sen2α = 1, haces pasaje de término, y queda:
sen2α = 1 - cos2α, reemplazas el valor remarcado, y queda:
sen2α = 1 - ( -2/√(42) )2, resuelves el último término, y queda:
sen2α = 1 - 4/42, simplificas en el último término, extraes denominador común en el segundo miembro, y queda:
sen2α = 19/21, haces pasaje de potencia como raíz, y queda:
senα = √(19)/√(21).
Espero haberte ayudado.
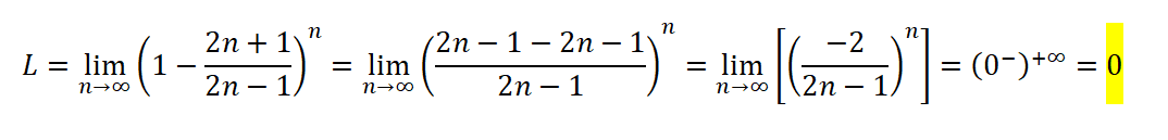
buenas, el otro ejercicio ya me explicaron de otro modo en clase, gracias de todos modos. Logaritmo neperiano de infinito partido por el mismo que da? el numerador tiene exponente mayor al denominador. Seguiria el ejercicio pero ni siquiera se eso...? aunque apostaria que es infinito partido infinito --> ind =infinito (expN >expD)
Voy bien o me equivoco? estoy haciendo infinitesimos y he vsito que en ambos videos solo sale un ejemplo muy simple comparandolo con el de mi ejercicio...