Foro de preguntas y respuestas de Matemáticas

logo beUnicoos
Los foros de unicoos se han unificado en nuestra nueva plataforma beUnicoos. Para dejar nuevas preguntas deberás hacerlo allí, donde además podrás encontrar nuevas asignaturas y herramientas para ayudarte más con tus estudios.

  • icon

    Luis
    el 30/9/17

    • ¿Álguien me puede ayudar a resolver este ejercicio?

    replythumb_up0 voto/sflag
    icon

    Antonius Benedictus
    el 30/9/17


    thumb_up0 voto/sflag
  • icon

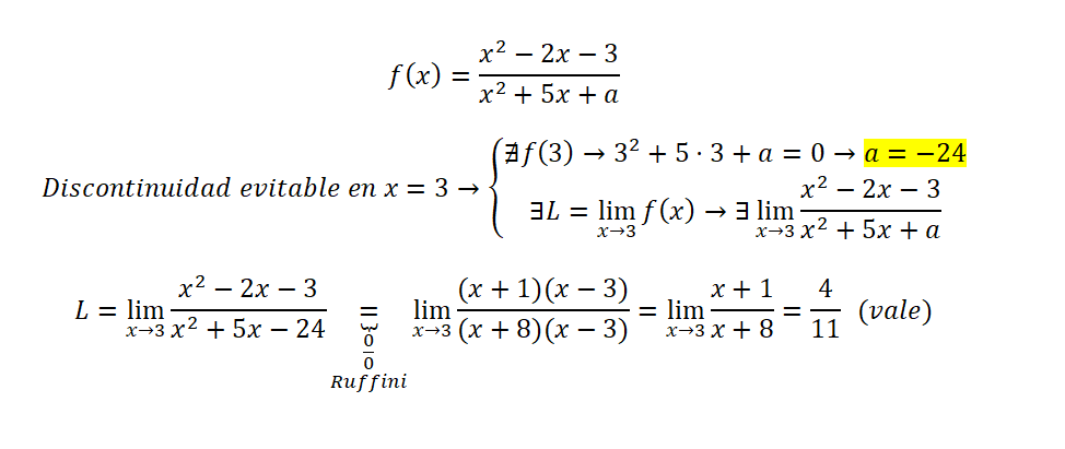
    David Avalos Fernàndez
    el 30/9/17

     Por que valores de a la función tiene una discon. evitable en el punto x=3   ???? Alguien me podría ayudar??

    replythumb_up0 voto/sflag
    icon

    Ángel
    el 30/9/17

    Para los valores en los que el denominador se anule en ese punto:

    f(3)=x2+5x+a=0   ------------->   32+5*3+a=0   ------>   a= -24

    thumb_up0 voto/sflag
    icon

    Antonius Benedictus
    el 30/9/17


    thumb_up0 voto/sflag
  • icon

    Jesus Garcia
    el 30/9/17

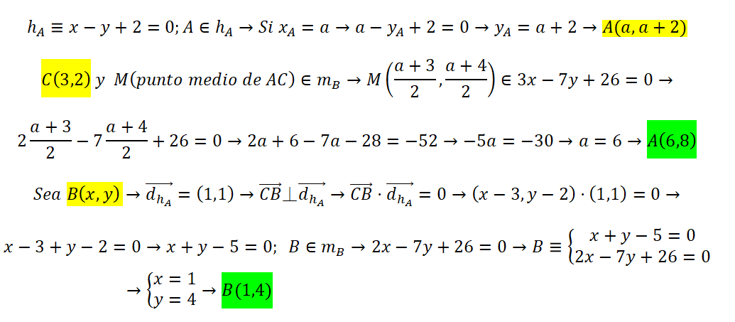
    Hola me ayuda realizar este ejercicio ?? 


    Trate de buscar el punto en el que se cruza la altura trazada desde el vértice A y la mediana que pasa por B, luego de tener ese punto conseguía el punto medio de AC ( Por definición de la mediana). Mi inconveniente es que no como buscar el punto medio de BC sin la razón de el segmento AP. Por su atencion muchas gracias. 

    replythumb_up0 voto/sflag
    icon

    Antonius Benedictus
    el 30/9/17

    ¿En qué nivel educativo estás y en dónde, Jesús?


    thumb_up0 voto/sflag
    icon

    Jesus Garcia
    el 30/9/17

    Nivel universitario calculo I 

    thumb_up0 voto/sflag

    Usuario eliminado
    el 30/9/17

    (1) Obtenemos r1: Recta que pasa por C perpendicular a altA.
    (2) Obtenemos B: Intersecar r1 con medB.
    (3) Obtenemos C': Simétrico de C respecto de B.
    (4) Obtenemos r2: Recta que pasa por C' paralela a medB.
    (5) Obtenemos A: Intersecar r2 y altA.

    thumb_up3 voto/sflag
    icon

    Antonius Benedictus
    el 30/9/17


    thumb_up3 voto/sflag
    icon

    Jesus Garcia
    el 1/10/17

    Profe, no puedo decir que la mediana y la altura se intersectan ?? 

    thumb_up0 voto/sflag

    Usuario eliminado
    el 2/10/17

    "Intersectar" es un anglicismo innecesario que no aparece en el diccionario de la rae. Lo correcto es usar "intersecar".

    thumb_up0 voto/sflag
    icon

    Jesus Garcia
    el 5/10/17

    Gracias por la corrección, pero no respondio mi pregunta: La mediana y la altura pueden cruzarse ?? 

    thumb_up1 voto/sflag

    Usuario eliminado
    el 5/10/17

    Sí.

    thumb_up1 voto/sflag
  • icon

    Jose
    el 30/9/17

    David, hay algún video de esto???

    Descompóngase el vector v = (2,1,-5) en sus componentes normal y paralela al plano de ecuación x-12y +2z = 5

    Aqui que tendría que hacer el vector unitario y sus cosenos directores?? No sé exactamente que hacer aquí....

    Gracias

    replythumb_up0 voto/sflag
    icon

    Antonius Benedictus
    el 30/9/17


    thumb_up1 voto/sflag
  • icon

    Diego Mauricio Heredia
    el 30/9/17

    Ayuda por favor con el inciso. G. ,

    O el h. 

    Como es una combinación lineal de vectores? 


    replythumb_up0 voto/sflag
    icon

    David
    el 4/10/17

    Simplemente escribe b= λ.a + β.b + δ. c Eso es una combinacion lineal
    Y despues halla 
     λ, β y δ. Lo explico en estos vídeos... Álgebra

    thumb_up0 voto/sflag
  • icon

    KingDreams
    el 30/9/17

    Buenos dias, estaba haciendo ejercicios de limites por l'hopital y me quede un poco trabado en el siguiente :
    lim     (cotg(2x)) / (cotg(x))
    x->0

    Podrian ayudarme con el ejercicio?
    Gracias


    replythumb_up0 voto/sflag
    icon

    Antonius Benedictus
    el 30/9/17


    thumb_up1 voto/sflag
  • icon

    Miss Legolas
    el 30/9/17

    Hola! No me ha quedado muy claro el teorema de Bolzano y los ejercicios teóricos no me salen. Me podríais ayudar con este de guía para ver si puedo ir haciendo los demas? Muchas gracias!!!


    replythumb_up0 voto/sflag
    icon

    Antonius Benedictus
    el 30/9/17


    thumb_up0 voto/sflag
    icon

    Miss Legolas
    el 30/9/17

    Hay una cosa que no me queda clara, por qué decides coger f(-2) y f(-1)??

    Todo lo demás del teorema me ha ayudado mucho.

    thumb_up0 voto/sflag
    icon

    Ángel
    el 30/9/17

    Como buscamos un punto de corte c0  lo más normal es empezar por los valores de x cercanos a el propio cero 

    ¿Cuáles son?

    -1, 1, -2, 2, -3, 3 .....

    Probamos con unos y otros en la función hasta que haya cambio de signo: ahí habrá raíz. En tu ejemplo tal condición se da en f(-1)<0 y f(-2)>0 y eso nos hace concluir por Bolzano que habrá un f(-2 < x < -1) = 0

    thumb_up0 voto/sflag
    icon

    Antonius Benedictus
    el 30/9/17

    Piden una solución distinta de x=0

    He estado tanteando  con valores positivos, y siempre daba positivo.

    Por tanto, seguí tanteando con valores negativos.

    thumb_up0 voto/sflag
  • icon

    Zayre
    el 30/9/17

    Necesito ayuda para resolverlas. A ser posible con el progreso. 

    replythumb_up0 voto/sflag
    icon

    Ángel
    el 30/9/17


    thumb_up1 voto/sflag
  • icon

    ALOFRE
    el 30/9/17
    flag

    Hola, ayuda con este problema, por favor:

    Imaginemos una fuerza ( F = 2yî + x^2 j newtons) que actúa sobre una partícula en el plano xy. La partícula se moverá desde la posición inicial x=0.00 m  e y=0.00 m hasta la posición final (5.00, 5.00), pero podrá elegir uno de los 3 caminos: (siempre en línea recta)

    a) Desde la posición inicial hasta (0.00 , 5.00) hasta la posición final.

    b) Desde la posición inicial hasta (5.00, 0.00) hasta la posición final

    c) Desde la posición inicial hasta la posición final (y siempre en línea recta=

    --> Calcule el trabajo invertido por F sobre la partícula en cada uno de los 3 caminos, mediante integración de la fuerza.

    Gracias!!

    replythumb_up0 voto/sflag
    icon

    Antonius Benedictus
    el 30/9/17

    Llévalo ala foro de Física, por favor.

    thumb_up0 voto/sflag
  • icon

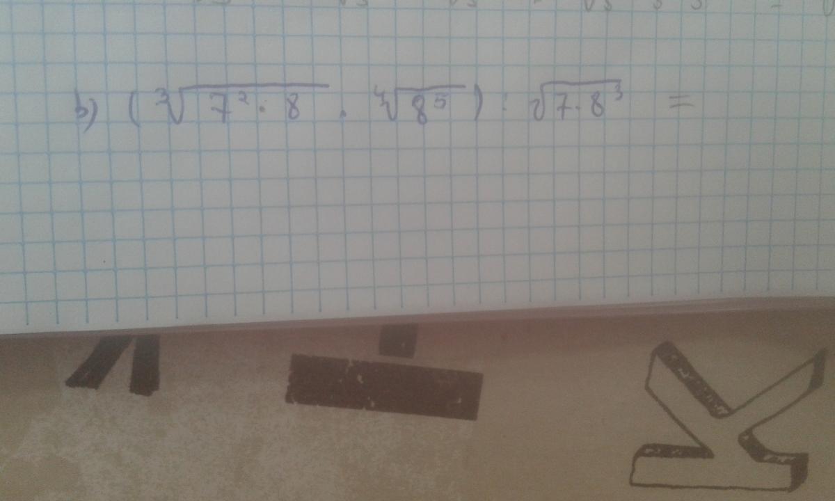
    Samuel Petrosyan
    el 30/9/17

    Hola, Me pueden ayudar por favor?


    replythumb_up0 voto/sflag
    icon

    Ángel
    el 30/9/17

    Tu expresión= (72*8)1/3*(85)1/4÷  (7*83)1/2=   

    72/3*81/3*85/4  ÷  71/2*83/2=

    72/3*7-1/2*81/3*85/4*8-3/2=

    72/3-1/2*81/3+5/4-3/2=

    71/6*81/12=

    6√7 * 12√8=

    12√(72*8)


    thumb_up1 voto/sflag