Foro de preguntas y respuestas de Matemáticas

logo beUnicoos
Los foros de unicoos se han unificado en nuestra nueva plataforma beUnicoos. Para dejar nuevas preguntas deberás hacerlo allí, donde además podrás encontrar nuevas asignaturas y herramientas para ayudarte más con tus estudios.

  • icon

    David Poyatos
    el 25/9/17

    Hola, como se resolvería este problema.

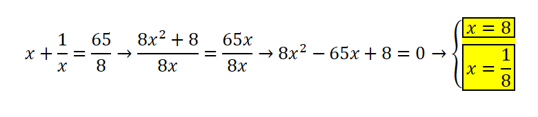
    La suma de un número y su inverso es de 65/8. Calcula dicho número.

    Este problema se resuelve como un Sistema compatible indeterminado. En el cual le doy a una de las dos incógnitas un valor para hallar el otro?

    replythumb_up0 voto/sflag
    icon

    Antonius Benedictus
    el 25/9/17


    thumb_up0 voto/sflag
    icon

    Ángel
    el 25/9/17

    x+ 1/x = 65/8

    8x2/8x + 8/8x = 65x/8x

    8x2+ 8= 65x

    8x2-65x+8= 0

    x1= 8   

    x2= 1/8 

    thumb_up0 voto/sflag
  • icon

    Antoniio
    el 25/9/17

    Hola, buenas. Me queda sólo este problema de mi serie de ejercicios por resolver, me han ayudado en 2 pero ocupo ayuda para este también, no he podido resolverlo por mi cuenta, es el siguiente:

    Alguien me apoya ? Se lo agradecería mucho. Saludos!!

    replythumb_up0 voto/sflag
    icon

    Antonius Benedictus
    el 25/9/17


    thumb_up0 voto/sflag
  • icon

    David Ru
    el 25/9/17

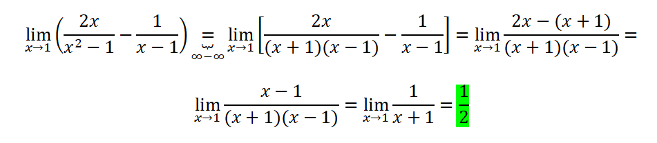
    No consigo hallar el límite de esta función , cuando x tiende a 1 , supuestamente la solución es de 1/2 , a mi me sale -1 , si alguien puede desarrollarla , lo agradecería mucho 


    [ 2x/(x^2 - 1) - 1/(x-1) ] 

    gracias

    replythumb_up0 voto/sflag
    icon

    Ángel
    el 25/9/17

    lim(x->1)  2x/(x2- 1) - 1/(x-1) = 

    lim(x->1)  (2x-x-1)/(x2- 1) = 

     lim(x->1)  (x-1)/(x2- 1) = 

     lim(x->1)  1/(x+1)=  1/2

    thumb_up1 voto/sflag
    icon

    Antonius Benedictus
    el 25/9/17


    thumb_up1 voto/sflag
  • Usuario eliminado
    el 25/9/17
    flag

    En un triángulo rectángulo ABC: 4tan=9tanC

    Calcular: 

    L=cosA.cosC

    replythumb_up1 voto/sflag
    icon

    Ángel
    el 25/9/17

    Manda los intentos que hayas hecho de tus ejercicios y te ayudamos.

    thumb_up0 voto/sflag
  • icon

    Paula
    el 25/9/17

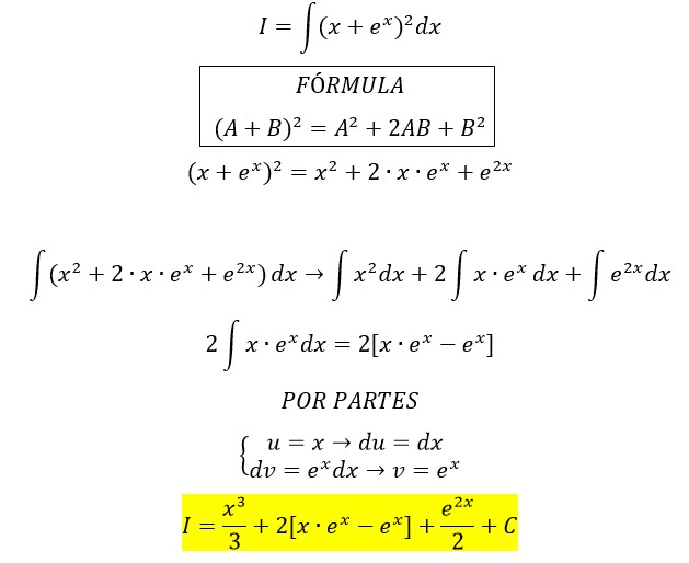
    Hola, ayuda para hacer estas dos integrales? y comprobar


    replythumb_up0 voto/sflag
    icon

    Axel Morales Piñón.
    el 26/9/17


    thumb_up1 voto/sflag
    icon

    Axel Morales Piñón.
    el 26/9/17

    Para la otra integral, es directa pero, recomiendo cambio t= ln x

    Solución:

    I= (3/2) ln2|x| + C

    thumb_up1 voto/sflag
    icon

    Paula
    el 26/9/17

    Asi esta bien la del ln?

    thumb_up0 voto/sflag
  • icon

    Karen
    el 25/9/17

    Hola! Me pueden ayudar con esta sucesión? No estoy segura de haberla hecho bien, es una indeterminación? En ese caso, como prosigo? 

    replythumb_up0 voto/sflag
    icon

    Antonius Benedictus
    el 25/9/17

    Infinito elevado a 0 es un caso de indeterminación.

    ¿Te importa poner foto del enunciado original?

    thumb_up0 voto/sflag
    icon

    Karen
    el 25/9/17


    thumb_up0 voto/sflag
    icon

    Antonius Benedictus
    el 25/9/17


    thumb_up1 voto/sflag