Foro de preguntas y respuestas de Matemáticas

logo beUnicoos
Los foros de unicoos se han unificado en nuestra nueva plataforma beUnicoos. Para dejar nuevas preguntas deberás hacerlo allí, donde además podrás encontrar nuevas asignaturas y herramientas para ayudarte más con tus estudios.

  • icon

    Jon Aginaga
    el 23/9/17

    Buenas. Cómo se resolvería esta inecuación?

    ((x^2)/4)+5≥12x^2-3

    replythumb_up0 voto/sflag
    icon

    Desencadenado
    el 23/9/17

    icon

    Desencadenado
    el 23/9/17

  • icon

    Javi Santos
    el 23/9/17

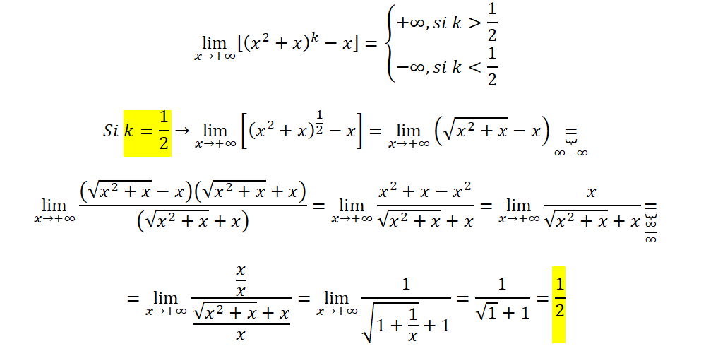
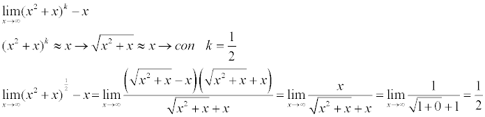
    Necesito ayuda con este ejercicio. Dice que hay que encontrar el valor de k para que el lim x-->+∞ (x2+x)k-x exista y sea finito, y para el valor de k hay que encontrar el límite.

    replythumb_up0 voto/sflag
    icon

    Antonius Benedictus
    el 23/9/17


    thumb_up1 voto/sflag
    icon

    César
    el 23/9/17


    thumb_up1 voto/sflag
    icon

    Javi Santos
    el 24/9/17

    Pero el 1/2 de donde sale?

    thumb_up0 voto/sflag
  • icon

    Rj Mitte
    el 23/9/17

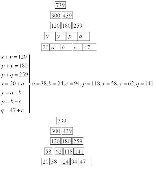
    Ayuda con este unicoos


    replythumb_up0 voto/sflag
    icon

    ivan
    el 23/9/17

    En el primer caso debes restar 739-439 y el resultado de eso ira a la bolilla del al lado y asi hasta encontrar los valores de las demas bolillas

    empiezas desde arriba hacia abajo. y para corriborar que esten bien si sumas dos bolillas te deberia dar el de arriba



    thumb_up1 voto/sflag
    icon

    César
    el 23/9/17


    thumb_up1 voto/sflag
    icon

    Rj Mitte
    el 23/9/17

        César explicame como saco los numeros de la cuarta fila a prueba y error?

    thumb_up0 voto/sflag
    icon

    Ángel
    el 24/9/17

    Observa que el número que está en el cuadrado azul tiene que estar entre el valor 21 y el 119

    https://es.wikipedia.org/wiki/Algoritmo_voraz

    https://es.wikipedia.org/wiki/M%C3%A9todo_de_bisecci%C3%B3n


    ****En el tercer paso quería poner "Todas las soluciones encajan menos el 140, que es un poco menor que 97+47 pero se va acercando a la solución buscada, no obstante nos aseguraremos........."

    ***En el primer paso quería escribir "falta de correlación".


    thumb_up1 voto/sflag
    icon

    César
    el 24/9/17

    No, basta resolver el sistema de ecuaciones y listo.

    thumb_up0 voto/sflag
  • icon

    Jon Aginaga
    el 23/9/17

    Buenas. Cómo se resolvería esta inecuación?

    3x^2-12>0

    replythumb_up0 voto/sflag
    icon

    César
    el 23/9/17

    3x^2-12>0

    3x^2>12                  x^2>4                 x>2     x<-2   

    En forma de intervalos   (-∞,-2)  U (2,∞)

    thumb_up0 voto/sflag
  • icon

    lbp_14
    el 23/9/17

    Hola Unicoos,

    Me pueden corregir este valor absoluto, y ayudarme a representarlo.

    Muchas gracias.


    replythumb_up0 voto/sflag
    icon

    Ángel
    el 23/9/17

    Está bien. 

    El valor absoluto define una función a trozos: tienes que representar las 3 funciones (cada una en su dominio correspondiente) en el eje de coordenadas. Une los puntos (x,y) que has obtenido en las tablitas como se hace con las funciones "normales" y recuerda que en x=0 no está definida (punto vacío)

    La unión de estos trozos será la representación de f(x)

    thumb_up1 voto/sflag
    icon

    César
    el 23/9/17

    Lo veo correcto, pero no necesitas hacer tanto calculo, el unico punto que anula al denominador es x=0 (asintota vertical)


    thumb_up1 voto/sflag
  • icon

    Marco
    el 23/9/17

    estoy empezando la carrera de física (a distancia) y me encuentro con varias dudas realizando ejercicios. En caso de darme de alta, tengo asegurada ayuda con mis problemas a través del chat? 

    gracias

    replythumb_up0 voto/sflag
    icon

    César
    el 23/9/17

    Te ayudarán en la medida que puedan, recordarte que unicoos solo llega a Bachiller , y en ocasiones a temas de Universidad.

    De todas formas te recomiendo el foro de Física

    thumb_up0 voto/sflag
    icon

    Marco
    el 23/9/17

    tenia entendido que llegaba a primeros cursos de Universidad... Hay intención de ampliar al tramo universitario? Ing. y ciencias puras?

    thumb_up0 voto/sflag
  • icon

    Ingrid
    el 23/9/17

    Me pueden ayudar con la pregunta b y c, por favor:


    replythumb_up0 voto/sflag
    icon

    Antonius Benedictus
    el 23/9/17


    thumb_up1 voto/sflag
  • icon

    Ainhoa
    el 23/9/17

    Alguien me podría resolver esta operación?? Esque no se bien como hacerla, muchas gracias!!

    replythumb_up0 voto/sflag
    icon

    Antonius Benedictus
    el 23/9/17


    thumb_up1 voto/sflag
  • icon

    Pablo González
    el 23/9/17

    Buenas Tardes! Necesitaría ayuda resolviendo la siguiente inecuación...

    lx-1l + lx+1l < 1

    Muchas gracias de antemano.

    replythumb_up0 voto/sflag
    icon

    Antonius Benedictus
    el 23/9/17


    thumb_up2 voto/sflag
  • icon

    Laura
    el 23/9/17

    Buenos días,  me ayudarían con el ítem b, a mi profesor le da otra resultado, me dirían que hice mal?? Gracias  

    replythumb_up0 voto/sflag
    icon

    Ángel
    el 24/9/17

    Planteamiento:


    a)


    b)


    c)


    d)

    thumb_up1 voto/sflag
    icon

    Laura
    el 24/9/17

    Hola, Angel no entiendo porque en el ítem b hiciste 2.10.40? Sin usar combinatoria como se haría? Gracias.

    thumb_up0 voto/sflag
    icon

    Ángel
    el 24/9/17


    thumb_up1 voto/sflag