
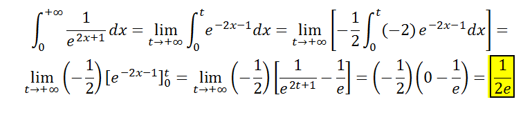
https://www.symbolab.com/solver/integral-calculator/%5Cint%20%5Cfrac%7B1%7D%7Be%5E%7B2x%2B1%7D%7D
Mira en esta página. Pones la integral arriba y te la va resolviendo paso por paso
Ayuda por favor
¿Cuantos partidos de fútbol se pueden jugar en un campeonato de una sola rueda, si participan 8 equipos?
Tema: ANÁLISIS COMBINATORIO
Cnm= (n!) ÷ [(n-m)!*(m!)] ----------> C28 = (8!) ÷ [(6!)*(2!)] = (8*7*6!)÷[(6!)*(2!)] = (8*7)÷(2!) = 56÷2 = 28 partidos
Mira los 5 vídeos que hay de combinaciones, permutaciones y combinaciones del bloque de combinatoria https://www.unicoos.com/cursos/4-eso/matematicas
Después intentas los ejercicios, nos cuentas cuáles no te salen o tengas dudas y te ayudamos...¡si participas, aprenderás a hacerlos tú también en breve!

1)
Tienes que elegir muestras de 3 elementos, sin orden y sin repetición, de una población de 5 elementos:
C(5,3) = 5! / 3!*(5 - 3)! = 5! / 3!*2! = 10 maneras de elegir tres pasteles.
2)
Tienes que ordenar 8 elementos, de los cuales 5 son de una clase (indistinguibles entre si) y 3 son de otra clase (indistinguibles entre si):
P(8 ; 5,3) = 8! / 5!*3! = 40320 / 120*6 = 40320/720 = 56 maneras de ordenar las ocho monedas.
3)
Observa que con dos puntos ya determinas una recta, por lo que debes contar cuántos pares de puntos tienes, por lo que debes elegir muestras de 2 puntos, sin orden y sin repetición, de una población de 20 elementos:
C(20,2) = 20! / 2!*(20 - 2)! = 20! / 2!*18! = 190 rectas.
4)
Debes elegir muestras de tres elementos, con orden y sin repetición, de una población de 5 elementos:
V(5,3) = 5!/(5 - 3)! = 5!/2! = 60 números de tres cifras diferentes.
Espero haberte ayudado.
por favor ayuda para solucionar este ejercicio, ya lo hice, pero es para comparar si me quedó bien, gracias de antemano

La proposición, que designamos como P(n) es Verdadera,
y lo puedes demostrar con el Principio de Inducción Completa:
1)
P(n = 1):
1*[2*a + (1 - 1)*d]/2 = 1*[2*a + 0*d]/2 = 1*[2*a + 0]/2 = 1*2*a/2 = 2*a/2 = a.
2)
P(n = h):
a + (a + d) + (a + 2d) + ... + [a + (h - 1)*d = h*[2*a + (h - 1)*d]/2 (Hipótesis Inductiva).
3)
P(n = h + 1):
a + (a + d) + (a + 2d) + ... + [a + (h - 1)*d + [a + h*d] = (h + 1)*[2*a + h*d]/2 (Tesis Inductiva).
4)
Demostración de la Tesis Inductiva:
a + (a + d) + (a + 2d) + ... + [a + (h - 1)*d] + (a + h*d) =
aplicas la Hipótesis Inductiva y queda:
= h*[2*a + (h - 1)*d]/2 + (a + h*d) =
extraes denominador común 2 y queda:
= [ h*[2*a + (h - 1)*d] + 2*(a + h*d) ]/2 =
distribuyes en cada términos del numerador y queda:
= [2*a*h + h2*d - h*d + 2*a + 2*h*d]/2 =
reduces términos semejantes en el numerador y queda:
= [2*a*h + h2*d + h*d + 2*a]/2 =
ordenas términos en el numerador y queda:
= [2*a*h + 2*a + h2*d + h*d]/2 =
extraes factor común en grupos de dos términos en el numerador y queda
= [2*a*(h + 1) + h*d*(h + 1)]/2 =
extraes factor común en el numerador y queda:
= (h + 1)*(2*a + h*d)/2.
5)
Conclusión:
P(n = 1) es Verdadera, y
P(n = h) → P(n = h + 1) es Verdadera,
por lo tanto, por el Principio de Inducción completa tienes que:
P(n) es Verdadera, para todo n ∈ N, n ≥ 1.
Espero haberte ayudado.
Hola!
Disculpe, estoy perdido en tema muy fácil, mire quisiera saber como se podía hacer para pasar un numero que digamos puede ser 6,66666 a que pase a 7.
Me perdí en eso ya que lo vi hace mucho y me confundí demasiado.
Muchas Gracias!
6,6666666
Si lo redondeamos a la unidad tenemos que fijarnos en el decimal de 6,6 (lo que va después de la coma es mayor que 5) pasa a ser 7
https://www.smartick.es/blog/matematicas/numeros-decimales/estimaciones-redondear-numeros-decimales/
Dibuje mediante un ordenador o calculadora las gráficas de las funciones dadas. Examine las gráficas (ampliándolas o reduciéndolas si es necesario) y busque las simetrías. ¿Respecto a qué rectas y/o puntos son simétricas las gráficas? Intente verificar sus conclusiones algebraicamente.
f(x)=(2x2+3x)/(x2+4x+5)
calcula x
log2 32=x