¿me podéis ayudar con este problema?:
Dada la recta r que pasa por (1,5)y (4,-1)calcula la distancia a la recta s: 2x+y=-1
Solo me falta el como estudiar la posicion relativa de las rectas
Alguien me puede recomendar un vídeo de sucesiones y principio de inducción matemática, o explicarme como se saca el termino n-enésimo de una sucesión, por ejemplo: 1,1/2,1/6,1/24,1/20,...

Para determinar una expresión para el elemento general de una sucesión, debes encontrar una relación entre el número de orden (n = 1, 2, 3, etcétera) y cada uno de los elementos.
Para la sucesión de tu enunciado, cuyos primeros elementos son:
1 = 1/1 (para n = 1), observa que puede escribirse: a1 = 1 = 1/1!;
1/2 (para n = 2), observa que puede escribirse: a2 = 1/2 = 1/2!;
1/6 (para n = 3), observa que puede escribirse: a3 = 1/6 = 1/3!;
1/24 (para n = 4), observa que puede escribirse: a4 = 1/24 = 1/4!;
1/120 (para n = 5), observa que puede escribirse: a5 = 1/120 = 1/5!;
luego, observa que el número de orden (que tienes remarcado en los subíndices) tiene relación con el denominador en cada elemento (observa que es el factorial del número de orden), y los numeradores son todos iguales a uno,
luego, siguiendo la misma ley de formación, puedes plantear para el elemento general:
an = 1/n!, con n ∈ N, n ≥ 1.
Espero haberte ayudado.
Me podéis ayudar con el ejercicio 5, por favor?
Hay apartados como el d o el b que no tengo ni idea de cómo hacerlos.
Hola carmen, esos ejercicios están fáciles, podres hacerlos en esta página, recuerda que : significa división, aprendete las propiedades de los exponentes, espero haberte ayudado...
https://es.symbolab.com/solver/step-by-step/%5Cleft(-2%5Cright)%5E%7B4%7D%5Ccdot%5Cleft(-2%5Cright)%5Cdiv%5Cleft(-2%5Cright)%5E%7B3%7D

Recuerda las propiedades:
1. ap*aq = ap+q (producto de potencias con bases iguales: se suman los exponentes),
2. ap : aq = ap-q (división de potencias con bases iguales: se restan los exponentes),
3. (ap)q =ap*q (potencia cuya base es otra potencia: se multiplican los exponentes).
Vamos con tu ejercicio (d) a modo de ejemplo (verifica por favor los exponentes, porque no se distinguen bien en la imagen):
(54*54*53)2 : (56)3 =
aplicas la propiedad señalada 1 en el primer agrupamiento, y la propiedad señalada 3 en el divisor, y queda:
= (54+4+3)2 : 56*3 =
resuelves operaciones en los exponentes y queda:
= (511)2 : 518 =
aplicas la propiedad señalada 3 en el primer factor y queda:
= 511*2 : 518 =
resuelves el producto en el exponente del primer factor y queda:
= 522 : 518 =
aplicas la propiedad señalada 2 y queda:
= 522-18 =
resuelves la resta en el exponente y queda:
= 54.
Haz el intento con los demás ejercicios, y si te resulta necesario no dudes en volver a consultar.
Espero haberte ayudado.

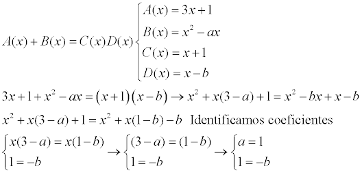
Plantea y desarrolla las operaciones en ambos miembros:
A(x) + B(x) =
= (3x + 1) + (x2 - ax + 3) =
= 3x + 1 + x2 - ax + 3 =
ordenas términos, extraes factor común entre los términos lineales, reduces términos semejantes y queda:
= x2 + (3 - a)x + 4 (1);
C(x)*D(x) =
= (x + 1)*(x - b) = distribuyes y queda:
= x2 - bx + 1x - b = extraes factor común entre los términos lineales y queda:
= x2 + (- b + 1)x - b (2).
Luego igualas las expresiones señaladas (1) (2) y queda:
x2 + (3 - a)x + 4 = x2 + (- b + 1)x - b, haces pasaje de término cuadrático (observa que tienes cancelaciones) y queda:
(3 - a)x + 4 = (- b + 1)x - b,
luego, por igualdad entre polinomios, igualas coeficiente a coeficiente y queda el sistema de ecuaciones:
3 - a = - b + 1
4 = - b, aquí haces pasajes de términos y queda: b = - 4,
luego reemplazas en la primera ecuación y queda:
3 - a = - (- 4) + 1, resuelves el segundo miembro y queda:
3 - a = 5, haces pasajes de términos y queda: - 2 = a.
Espero haberte ayudado.
Hola únicoos, me podeis ayudar,
Tenemos un paralelogramo cuyos vértices son: A(-5,4) B(2,-3) C(3,0) y D(-4,-1),siendo A y C vértices no consecutivos.
a- encontrar el valor del angulo B
b- calcular el area.
En el apartado a, utilizo los vectores de las dos rectas que forman en angulo B: AB(7,-7) y CB(-1,-3) y aplico la formula Cos α =Ι v.u + v.u Ι. El resultado me da 63,43º. Pero
ΙvΙ • ΙuΙ
al hacer el dibujo del paralelogramo, me resulta mayor de 90º, y no estoy segura si esta bien.
En el apartado b, he calculado la base, vector AB (7,-7), pero no se como calcular la altura, al tratarse de un romboide.
Muchas gracias
¡Hola unicoos!
Espero me puedan ayudar con un consejo para poder realizar lo siguiente:
Me solicitaron que hiciera una maqueta con el círculo unitario y con este tengo que graficar el seno, coseno y tangente. No tiene que ocupar mucho espacio, algo pequeño.
Ojalá me puedan dar algunas ideas, muchas gracias y saludos.
ME AYUDAN CON ESTE PROBLEMA
La desintegración radioactiva del polonio se puede modelar a través de la función P(t)=P0⋅(12)t140, donde P0 es la cantidad de gramos de polonio inicial y t el número de días. ¿Cuánto tiempo (en días) tardaría una muestra de polonio en reducirse a 1/64 partes de la cantidad inicial?
Duda de conceptos con este ejercicio, gracias de antemano por la ayuda
describa con palabras la forma en que es posible obtener la gráfica de la función dada a partir de y=x^2 por medio de transformaciones rigidas o no rigidas:
f(x)= 10 (x-2)^2-1
cómo se haría, osea solo cambiaría la posición en el plano xy, pero no su forma y dependería del signo hacia donde se desplace?, y como seria una transformación no rigida

Partes de la gráfica cuya ecuación es:
y = x2,
compones con una traslación paralela al eje OX, de dos unidades hacia la derecha y queda
y = (x - 2)2,
compones con una dilatación de módulo diez y queda:
y = 10*(x - 2)2,
compones con una traslación paralela al eje OY, de una unidad hacia abajo y queda:
y = 10*(x - 2)2 - 1.
Espero haberte ayudado.