Foro de preguntas y respuestas de Matemáticas

logo beUnicoos
Los foros de unicoos se han unificado en nuestra nueva plataforma beUnicoos. Para dejar nuevas preguntas deberás hacerlo allí, donde además podrás encontrar nuevas asignaturas y herramientas para ayudarte más con tus estudios.

  • icon

    lbp_14
    el 21/8/17

    Hola Unicoos, quien resuelva de esta forma los sistemas con matrices que me lo corriga.

    Lo que hago en el apartado "Resolver para a=2" es sustituir en el sistema original por a=2 y coger la matriz en la que previamente al sustituir por a=2 he asegurado el rango=2 y lo restante lo tacho y lo que paso al otro lado lo designo como "landa" .

    Mi pregunta es, al resolver el sistema, para saber qué fila debo tachar y a qué denominar "landa" siempre debo tomar el rango asegurado por la matriz A o la matriz ampliada? Esque si en algún caso uno de los rangos es 3, entonces no podré dar valor "landa" a ninguna variable. En este caso esque al sustituir por a=2 me daba mismo rango en matriz A que en matriz A* ampliada.

    Muchas gracias.


    replythumb_up1 voto/sflag
    icon

    Guillem De La Calle Vicente
    el 21/8/17

    Déjame explicarlo por el caso general:

    Si la matriz tiene rango máximo, el sistema tiene solución única. Si no lo tiene, pues existe un conjunto de filas que dependen linealmente de todas las demás, y por lo tanto tienes λ1, λ2,... .

    Pero claro, siempre suponiendo que el vector b en A*x=b fuese nulo.
    Hay que comprobar primero al hacer las transformaciones lineales si al obtener una de las filas totalmente nulas la componente de b en la misma fila es realmente nula!!

    Con que haya una que no lo es, adiós!

    Pero si todas aquellas filas nulas tienen componentes nulas de la b, entonces tal cual!! Arranca una solución particular al azar que satisfaja la ecuación, y luego la general es la particular más el subespacio solución del homogénea!!

    Basta complicarte la vida a la hora de meterte a hacer los cálculos!!!

    ¡¡Así es la vida!!

    Saludos.


    thumb_up1 voto/sflag
  • icon

    Alejandro Álvarez
    el 21/8/17

    Buenas tardes,

    necesitaría ayuda con las siguientes derivadas.

    Un saludo.


    replythumb_up0 voto/sflag
    icon

    Ángel
    el 21/8/17


    thumb_up0 voto/sflag
  • icon

    Guillem De La Calle Vicente
    el 21/8/17

    f indica una función con dominio [0,2] y rango [0,1] cuya gráfica se muestra en la figura siguiente.


    Dibuje la gráfica de las funciones indicadas y especifique sus dominios y sus rangos.

    1. -f(x)

    2. f(-x)

    replythumb_up0 voto/sflag
    icon

    Ángel
    el 22/8/17

    1. -f(x)

    dominio [0,2] y rango [-1,0]  -----> 3er cuadrante y la campana dada la vuelta

    2. f(-x)

    dominio [-2,0] y rango [-1,0]   -----> 4º cuadrante y la campana dada la vuelta

    thumb_up0 voto/sflag
  • icon

    Nazaret
    el 21/8/17


    Buenas tardes, estoy muy interesada en saber cómo elaborarías este ejercicio profesor. Te conocí gracias a mi padre que me dijo que te vió por la televisión. Me vi tu video en el que explicas a hacer un ejercicio con el mismo temario pero el nivel de dificultad era más flojo que el que me han puesto en la universidad. La verdad que no soy muy dada para la estadística, ni las matemáticas en general y gracias a tus videos estoy aprendiendo y mejorando de cara al examen. Seria de gran ayuda y te estaría eternamente agradecida si me ayudases o si alguna persona que lo viese me ayudase a resolver este ejercicio. 

    Muchísimas gracias!!



    replythumb_up0 voto/sflag
    icon

    Ángel
    el 21/8/17

    Son muchas preguntas y algunas fuera del contenido (exceden el nivel de Bachillerato).

    De todas maneras puedes mandar tu resolución y dudas puntuales, y probablemente te demos una orientación.

    thumb_up1 voto/sflag
    icon

    Nazaret
    el 22/8/17

    Mi duda más concreta sería cómo averiguar en esa caja de bigotes los datos anómalos,es decir que procedimiento seguir porque aparecen a la derecha bastantes datos y no sabría como comenzar, el orden el cual seguir,  ya que es más complejo que el ejercicio que se explica en el vídeo. 

    Muchas gracias. 

    thumb_up0 voto/sflag
    icon

    Ángel
    el 22/8/17

    Si adjuntaras el apartado anterior al que se refiere tu enunciado sabría responderte mejor...pero intuyo que los datos anómalos situados abajo y arriba de la distribución normal simbolizada con la caja de bigotes significan que:

    Hay 148 familias que no reciben ninguna ayuda (mínimo)

    Hay 190 familias que reciben toda la ayuda: 1500 euros (máximo)

    thumb_up1 voto/sflag
    icon

    Nazaret
    el 22/8/17

    Vale tienes razón!! Acabo de entender mejor por lo que me acabas de decir viendo el mínimo y el máximo. Voy a hacer los dos ejercicios y cualquier cosa te vuelvo a escribir para ver si lo tengo correcto, ya que seguro me entra en examen. Muchísimas gracias de verdad, me estás salvando la vida =) 

    thumb_up0 voto/sflag
  • icon

    Lola
    el 21/8/17

    Hola Unicoos,me ayudarian con esto? Muchas gracias de antemano!

    Una determinada bacteria puede atacar o no una semilla de soja (presente,Ausente), ademas puede ser o no detectada por un test (positivo,Negativo)

    a) Indicar el espacio Muestral

    b) Si la P(positivo)=0,66;la P (presente y Positivo)=0,58 y la P (Ausente I Negativo )= 0,88,completar la siguiente tabla de probabilidades:


    c) Son los eventos test y bacteria independientes?

    replythumb_up0 voto/sflag
    icon

    Antonius Benedictus
    el 21/8/17

    ¿Puedes poner foto del enunciado original completo, Lola?

    thumb_up0 voto/sflag
    icon

    Lola
    el 21/8/17

    Hola,Benito este es el enunciado original!


    thumb_up0 voto/sflag
    icon

    Ángel
    el 21/8/17

    Entre amarillo está lo hallado directamente (o casi) de los datos del enunciado


    thumb_up0 voto/sflag
    icon

    Lola
    el 21/8/17

    Gracias Angel por responder! El espacio muestral que pide tambien seria ese cuadro? Y como se si el Test y Bacteria son independientes?

    thumb_up0 voto/sflag
    icon

    Ángel
    el 22/8/17

    Ya que los dos valores señalados con las flechas lilas son muy diferentes (0.58 es mucho mayor que 0.08 y lo mismo con 0.2992 y 0.0408):

    Observa que cuando el test da positivo hay mucha más probabilidad de que la bacteria está presente p= 0.58/0.66= 0.88 que no lo esté p=0.08/0.66=0.12)

    y  cuando el test da negativo hay mucha más probabilidad de que la bacteria no esté presente

    Por lo tanto, es dependiente. 


    El espacio muestral se puede determinar a partir de los porcentajes de la tabla.

    thumb_up0 voto/sflag
  • icon

    Dasein A
    el 21/8/17

    Hola, estoy buscando ayuda respecto al método a utilizar para obtener las probabilidades en escenarios como el siguiente:


    Hay un grupo de 80 bolas de colores. Hay 5 colores distribuidos uniformemente entre las 80 bolas, esto es, cada color aparece en 16 bolas. Entre 2 y 10 bolas son escogidas aleatoriamente del grupo de 80 bolas sin reemplazo.


    Total de bolas: 80

    Total de colores: 5

    Numero de bolas de cada color: 16 (5 x 16 = 80)

    Bolas a escoger: entre 2 y 10


    Lo que estoy tratando de hacer es algo como esto:


    Bolas Seleccionadas  -  Bolas del mismo color  -  Probabilidad

            2                                      2                                       1 en 5

    ---------------------------------------------------------------------------------

            3                                      1                                        1 en ?*

            3                                      2                                        1 en ?

            3                                      3                                        1 en ?

    ---------------------------------------------------------------------------------

            4                                      1                                        1 en ?*

            4                                      2                                        1 en ?

            4                                      3                                        1 en ?

            4                                      4                                        1 en ?

    ---------------------------------------------------------------------------------

            5                                      1                                        1 en ?*

            5                                      2                                        1 en ?

            5                                      3                                        1 en ?

            5                                      4                                        1 en ?

            5                                      5                                        1 en ?

    ---------------------------------------------------------------------------------

            6                                      2                                        1 en ?

            6                                      3                                        1 en ?

            6                                      4                                        1 en ?

            6                                      5                                        1 en ?

            6                                      6                                        1 en ?

    ---------------------------------------------------------------------------------

            7                                      2                                        1 en ?

            7                                      3                                        1 en ?

            7                                      4                                        1 en ?

            7                                      5                                        1 en ?

            7                                      6                                        1 en ?

            7                                      7                                        1 en ?


     * = cada bola es de un color diferente


    Y así por el estilo hasta 10.


    Hasta ahora sé cómo obtener las probabilidades para 2 bolas de esta manera:


    Se toma una bola del grupo. Hay 79 bolas restantes. De éstas, 15 son del mismo color que la primera, y el resto no: 79/15 = 5.26.


    Ahora estoy intentando encontrar el proceso correcto que me permita obtener los valores para circunstancias más complejas como en la tabla anterior.

    replythumb_up0 voto/sflag
    icon

    Ángel
    el 21/8/17

    Bolas Seleccionadas  -  Bolas del mismo color  -  Probabilidad

            2                                      2                                       80/80*15/79

    ---------------------------------------------------------------------------------

            3                                      1                                        80/80*64/79*48/78

            3                                      2                                        80/80*15/79*[(78-14)/78]

            3                                      3                                        80/80*15/79*14/78

    ---------------------------------------------------------------------------------

    Continúa tú y si dudas nos cuentas


    Respecto a lo que decías:

    Se toma una bola del grupo. Hay 79 bolas restantes. De éstas, 15 son del mismo color que la primera, y el resto no: 79/15 = 5.26.   

    ¡¡ La máxima probabilidad es p=1 (suceso seguro): no tiene ningún sentido obtener p=5.26  !! Lo correcto es p=15/79 y no 79/15


    thumb_up0 voto/sflag
  • icon

    Lola
    el 21/8/17

    Hola Unicoos,como seria esto?

    Se sabe que el 30% de la poblacion de vacas para leche contrae mastitis y que la campaña de prevencion con antibioticos alcanza una cobertura del 70% en dicha poblacion.Si de las vacas inyectadas con antibioticos solo el 10% contrae mastitis ¿Cual es la probabilidad de que una vaca para leche no contraiga mastitis si no fue inyectada con antibioticos?

    replythumb_up0 voto/sflag
    icon

    Antonius Benedictus
    el 21/8/17

    Pon foto del enunciado original, Lola.

    thumb_up0 voto/sflag
  • icon

    Manuel Moreno Peinado
    el 21/8/17
    flag

    hola a todos, me ha surgido un problema de álgebra que me está costando encontrar la solución:


    un comerciante quiere vender 60.000€ todos sus ordenadores. se estropean 2 y tiene que vender otros 2 a 50€ caros  para recaudar lo mismo


    ¿cuantos ordenadores tenía?¿a qué precio cada uno?

    replythumb_up0 voto/sflag
    icon

    David
    el 28/8/17

    Tenía x ordenadores... si no se hubiera roto ninguno y los vende a "y" euros cada uno tendría x.y = 60000
    Si se estropean dos, venderá x-2 ordenadores pero el precio de cada uno será y+50... Y recaudará (x-2)(y+50) = 60000...

    Resuelve el sistema.

    thumb_up1 voto/sflag
  • icon

    Leticia Sanchez Ruiz
    el 21/8/17
    flag

    Me podría ayudar a realizar un ejercicio en el que dice en que punto de una recta es paralelo a la bisectriz del primer cuadrante?


    replythumb_up0 voto/sflag
    icon

    Andres Sampayo
    el 21/8/17

    ¿puedes especificar mas o escribir el enunciado del ejercicio?



    thumb_up0 voto/sflag
    icon

    Guillem De La Calle Vicente
    el 21/8/17

    Pon enunciado original, Leticia.

    Saludos.

    thumb_up1 voto/sflag
    icon

    Andres Sampayo
    el 21/8/17

    Lo unico que puedo decir con forme a lo escrito es que el punto puede ser cualquiera de los puntos paralelos a los puntos de la recta y=x


    thumb_up0 voto/sflag
  • icon

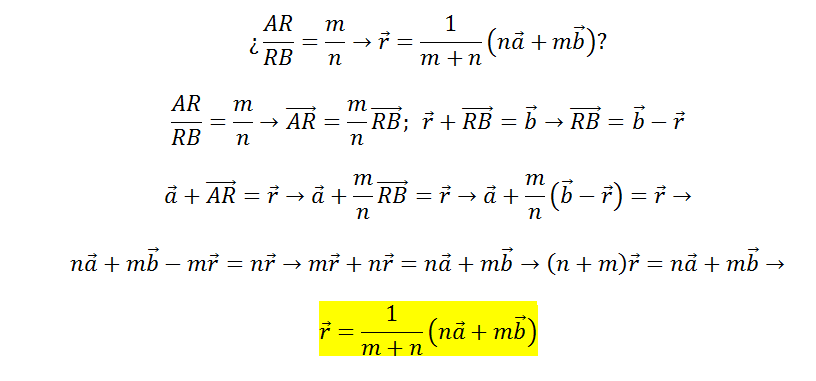
    Andres Sampayo
    el 21/8/17

    ¿me podrian ayudar?, se les agradece con anterioridad

    En la figura R divide al segmento AB en la relacion m:n,  demostrar que r=(na+mb)/(m+n)


    replythumb_up0 voto/sflag
    icon

    Antonius Benedictus
    el 21/8/17


    thumb_up1 voto/sflag