
¡Hola! Nos encantaría ayudarte, pero no solemos responder dudas universitarias que no tengan que ver específicamente con los vídeos que David ha grabado como excepción. O de otras asignaturas que no sean Matemáticas, Física y Química. Lo sentimos de corazón… Esperamos que lo entiendas.
Ojalá algún unicoo universitario se anime a ayudarte (de hecho, lo ideal es que todos los universitarios intentarais ayudaros los unos a los otros).
¿alguien me podria ayudar?
Sean los vectores A=<1; 2; 3> y B=<1;1;1> 2 vectores en R3. Hallar los vectores P y Q de R3 tales que A=P+Q, siendo P paralelo a B y Q ortogonal a B

Plantea para el vector P que es un múltiplo escalar del vector B (observa que tienes que P y B son paralelos):
P = < k , k , k >, con k ∈ R.
Plantea para el vector Q:
Q = < x , y , z >,
y como tienes que es Q es ortogonal a B, puedes plantear que el producto escalar entre ellos es igual a cero:
B • Q = 0, expresas los vectores con sus componentes y queda:
< 1 , 1 , 1 > • < x , y , z > = 0, desarrollas el producto escalar y queda la ecuación:
x + y + z = 0 (1).
Luego, tienes en el enunciado la ecuación vectorial:
P + Q = A, sustituyes las expresiones de los vectores en función de sus componentes y queda:
< k , k , k > + < x , y , z > = < 1 , 2 , 3 >, resuelves la suma en el primer miembro y queda:
< k + x , k + y , k + z > = < 1 , 2 , 3 >, luego por igualdad entre vectores, tienes las ecuaciones:
k + x = 1 (2)
k + y = 2 (3)
k + z = 3 (4).
Luego, con las ecuaciones señaladas (1) (2) (3) (4) tienes el sistema de cuatro ecuaciones con cuatro incógnitas:
x + y + z = 0
k + x = 1, de aquí despejas: x = 1 - k (5)
k + y = 2, de aquí despejas: y = 2 - k (6)
k + z = 3, de aquí despejas: z = 3 - k (7),
luego, sustituyes las expresiones señaladas (5) (6) (7) en la primera ecuación y queda:
1 - k + 2 - k + 3 - k = 0, reduces términos semejantes, haces pasaje de término y queda:
- 3*k = - 6, haces pasaje de factor como divisor y queda:
k = 2,
luego reemplazas en las ecuaciones señaladas (5) (6) (7) y queda:
x = - 1,
y = 0,
z = 1;
luego, tienes para los vectores incógnitas:
P = < 2 , 2 , 2 >,
Q = < - 1 , 0 , 1 >.
Espero haberte ayudado.
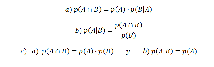
Hola,unicoos como se escribiria esto? Muchas gracias!
Si A y B son 2 eventos dependientes,escribir las expresiones para:
a) P(A ∩ B)
b) P (A I B)
c) Responder los items anteriores pero considerando que A y B son independientes.
Hola,unicoos como seria esto?? Gracias de antemano!
Se sabe que el color de pelo en Angus esta determinado por dos alelos:N, que produce color negro y n, que en doble dosis, produce color de pelo rojo.Si se cruza un toro negro (Nn) con 7 vacas de genotipo Nn.
a)Cual es la probabilidad de obtener 7 terneras negras?
b)Cual es la probabilidad de obtener 4 terneras negras y 3 rojas?
c) Cual es la probabilidad de obtenerlas todas rojas?
f indica una función con dominio [0,2] y rango [0,1] cuya gráfica se muestra en la figura siguiente.
Dibuje la gráfica de las funciones indicadas y especifique sus dominios y sus rangos.
1. f(x+2)
2. f(x-1)
1. f(x+2)
dominio [-2,0] y rango [0,1] -----> Resulta la misma gráfica en forma de campana de Gauss/distribución normal desplazada dos unidades hacia la izquierda (EJE X negativo)
2. f(x-1)
dominio [1,3] y rango [0,1] -----> Resulta la misma gráfica en forma de campana de Gauss/distribución normal desplazada una unidad hacia la derecha (EJE X positivo)
es que me dicen simplificar y ordenar las siguientes expresiones. comprobar si es el caso:
a^m*b^n+a^m+1*b^n+2-a^m-2*b^n+4 / a^2*b^3
1. x^4-x^2-2x-1 / x^2-x-1
2. a^6 +2a^5-3a^3-2a^4-a-1 / a^5+a^2-a+1
Necesito es que me expliquen el enunciado y que por-favor me ayuden a hacer esos dos como ejemplo
Puedes resolver las dos haciendo división de polinomios:
Y verificar el proceso y la respuesta aquí:
1. x^4-x^2-2x-1 / x^2-x-1
2. a^6 +2a^5-3a^3-2a^4-a-1 / a^5+a^2-a+1
https://es.symbolab.com/solver/step-by-step/%20%5Cleft(a%5E%7B6%7D%20%2B2a%5E%7B5%7D-3a%5E%7B3%7D-2a%5E%7B4%7D-a-1%5Cright)%20%2F%20%5Cleft(a%5E%7B5%7D%2Ba%5E%7B2%7D-a%2B1%5Cright)
El enunciado con "ordenar" se refiere a ordenar los grados de "a" o "x" de mayor a menor de izda a derecha