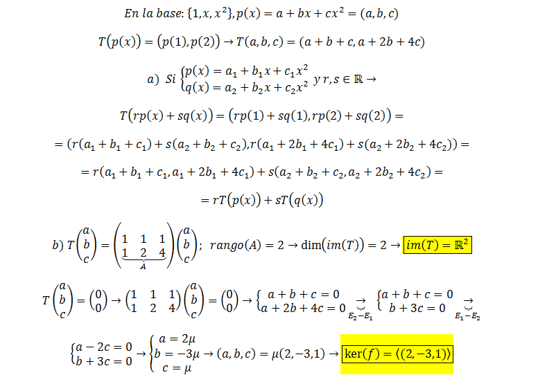
Hola me pueden ayudar con este ejercicio ?
Ya hice el a, que creo que esta bien, pero el b no se como hacerlo
Acá hago el a):
T(p(x) + q(x)) = (p(1) + q(1) , p(2) + q(2))
= T(p(x)) + T(q(x))
T(ap(x)) = (ap(1) , ap(2))
= a (p(1) , p(2))
= aT(p(x))
Entonces cumple los dos requisitos, es transformación lineal.
Hola, hice un ejercicio de operar con radicales.....y creo que lo tengo bien, pero no estoy del todo seguro, puesto que lo vi fácil...
El ejercicio en cuestión es 4√x . 4√3xy
yo hice lo siguiente: 4√x . 4√3xy = 16√x4. 16√(3xy)4 = 16√x4. (3xy)4= 16√x4. 34.x4.y4 = 16√x8.34.y4 Es correcto??

Es correcto, pero no hace falta todo el proceso, si te das cuenta en un principio ambas raices son cuartas. Al ser un producto basta con meter la x en el segundo componente y quedaría 4 √3x2 y , que es el mismo resultado que has dado tu, ya que puedes dividir los exponentes y la raiz por 4, quedándote este resultado
Demuestre, calculando las longitudes de sus tres lados, que el triángulo que tiene como vértices los puntos A(2,1), B(6,4) y C(5,-3) es isósceles.

Observa que tienes que calcular el área de un trapecio rectangular recto, cuyos elementos son:
B: base mayor, b: base menor, h: altura,
y observa que hemos indicado las medidas de sus ángulos interiores, que como ocurre en todo cuadrilátero, suman 360°,
Luego, observa que la altura del triángulo sombreado amarillo es igual a la altura del trapecio, y que la longitud de su base (z) puede plantearse a partir de la ecuación:
tan(56°) = h/z, de donde puedes despejar:
z = h/tan(56°) (1).
Luego, el área del triángulo amarillo queda expresada:
Aa = z*h/2 = sustituyes la expresión señalada (1) y queda:
Aa = ( h/tan(56°) )*h/2, resuelves factores y queda:
Aa = h2 / 2*tan(56°) (2).
Luego, observa que el rectángulo verde tiene base b y altura h,
y que tienes la relación entre la base mayor y la base menor del trapecio:
b + z = B, haces pasaje de término y queda:
b = B - z, sustituyes la expresión señalada (1) y queda:
b = B - h/tan(56°) (3).
Luego, el área del rectángulo verde queda expresada:
Av = b*h, sustituyes la expresión señalada (3) y queda:
Av = ( B - h/tan(56°) )*h (4).
Luego, puedes plantear para el área del trapecio:
A = Aa + Av, sustituys las expresiones señaladas (2) (4) y queda:
A = h2 / 2*tan(56°) + ( B - h/tan(56°) )*h, distribuyes el segundo término y queda:
A = h2 / 2*tan(56°) + B*h - h2 / tan(56°), reduces términos semejantes y queda:
A = B*h - h2 / 2*tan(56°) (5).
Luego, tienes en el enunciado:
B + h = 17,4 m, de donde puedes despejar:
B = 17,4 m - h (6),
luego sustituyes la expresión señalada (6) en la ecuación señalada (5) y queda:
A = (17,4 - h)*h - h2 / 2*tan(56°), distribuyes y queda:
A = 17,4*h - h2 - h2 / 2*tan(56°),
sustituyes x en lugar de h tal como indica el enunciado y queda:
A = 17,4*x - x2 - x2 / 2*tan(56°) (7),
que es la expresión del área del trapecio en función de su altura,
luego derivas y queda:
A ' = 17,4 - 2*x - x / tan(56°),
luego planteas la condición de punto crítico (posible máximo o posible mínimo):
A ' = 0, sustituyes expresiones y queda:
17,4 - 2*x - x / tan(56°) = 0, haces pasajes de términos y queda:
17,4 = 2*x - x / tan(56°), multiplicas en todos los términos de la ecuación por tan(56°) y queda:
17,4*tan(56°) = 2*x*tan(56°) - x, extraes factor común en el segundo miembro y queda:
17,4*tan(56°) = x*(2*tan(56°) - 1), haces pasaje de factor como divisor y queda:
17,4*tan(56°) / (2*tan(56°) - 1) = x, luego evalúas y queda:
x ≅ 13,1272 m.
Luego, evalúas en la expresión señalada (7) y tienes el valor del área máxima (te dejo la tarea),
y puedes verificar que es máxima si evalúas también en dos valores que "encierren" al punto crítico (por ejemplo x = 13 y x = 14 (te dejo la tarea).
Espero haberte ayudado.
-La propiedad interna de números racionales dice:
*que la suma de a y b siendo estos racionales da un número racional
*que el producto de a y b siendo estos racionales da un número racional
Como:
1/7= 0.142857 142857 142857 142857 (racional)
1/72= 1/7*1/7 (número racional según propiedad interna del producto)
1/76= 1/72*1/74 (número racional según propiedad interna del producto)
1/7n!= 1/7*1/7*1/7*1/7*1/7*1/7*1/7*1/7*1/7*1/7*1/7*1/7*.....*1/7 (número racional según propiedad interna del producto)
La suma de estos números racionales daría como resultado un número racional (según propiedad interna de la suma de números racionales)
No estoy nada seguro de que esto que te digo sea lo acertado, porque contradice tu enunciado...
Hola me podrian auydar con un ejercicio de funciones (logaritmo natural) el problema es el siguiente}: ln( x/4x-8 ) y su funcion inversa.

En la función original dónde pone x pones y, y dónde pone y cambias por x y después despejas la y.
Al finalizar el ejercicio puedes comprobar el resultado metiendo un valor de x cualquiera en la función original y con el valor obtenido lo metes en la función inversa y te tiene que devolver el primer valor que elegiste para meter en la función original.
El coste de imprimir x copias de un folleto es de C €, siendo C=Ax+B para ciertos valores de las constantes A y B. Si imprimir 10000 copias vale 5000€ e imprimir 15000 copias vale 6000€, ¿cuánto costará imprimir 100000 copias?