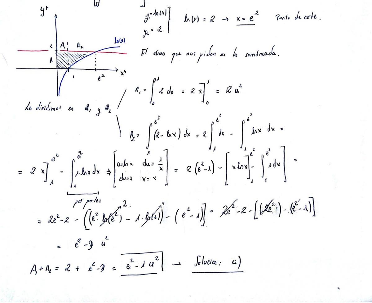
Alguien que me pueda decir como resolver esta área? Calculo el valor de x para cuando y vale dos y me sale e^2 Y con eso calculo la integral definida de la función entre el 1 (con cero la función no existe) Y e^2.
Lo hago Bien?
Gracias

Otra forma puede ser con una permutación de variables (intercambias x e y entre si) y la región queda limitada por las curvas cuyas ecuaciones son:
x = lny, donde compones en ambos miembros con la función inversa del logaritmo natural y queda: ex = y;
x = 2 (recta paralela al eje OY);
x = 0 (eje OY);
y = 0 (eje OX).
Luego haz un gráfico cartesiano y verás que la región está limitada:
superiormente por un trozo de la gráfica de y = ex,
inferiormente por el eje OX,
por izquierda por el eje OY,
por derecha por un trozo de la recta cuya ecuación es x = 2.
Luego, puedes plantear para el área de la región:
AR = ∫R (ex - 0)*dx, (indicamos con corchetes que debes evaluar con la Regla de Barrow entre x = 0 y x = 2);
luego, tienes:
AR = ∫R (ex - 0)*dx = ∫R exdx = [ ex ] = evalúas = e2 - e0 = e2 - 1.
Espero haberte ayudado.

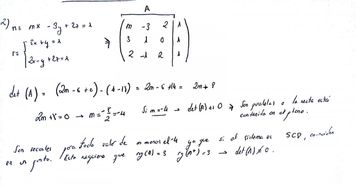
Respecto al apartado a, pienso que la solución de m=1 no es válida, ya que para que sean secantes el rango de la matriz resultante de agrupar el plano pi y los planos que conforman la regla s debe ser 3, y por tanto el determinante debe ser distinto de 0, para lo cual la única solución es que m sea distinto de -4:


La recta r esta definida por dos planos, puesto que en el primero la variable z no interviene, únicamente Pi puede ser paralelo al segundo. Para que dos planos sean paralelos, sus vectores normales deben ser iguales; si nos damos cuenta el vector normal de pi es (1,-3,2) según tu razonamiento en el que m=1, y el vector normal del segundo plano que conforma r es (2,-1,2).
Puesto que los vectores normales no coinciden,no son paralelos, y por tanto la recta corta al plano y son secantes.
Se cumple la afirmación de que para todos los valores menos el -4, el sistema es SCD

Vamos con una orientacion.
Has separado en terminos correctamente, luego puedes:
1) resolver la primera integral por medio de la sustitucion: w = 1 - x^2 y continua luego con la tarea;
2) extraes el factor constante 3, y observa que queda unbintegral directa, cuya solucion es arcsen(x) + C.
Espero haberte ayudado.