
Maths tiene razón te falta explicar la última igualdad, muchos profesores no te van a exigir que hagas todo ese cálculo que propone Maths y con que pongas una flechita en la última igualdad explicando que el resultado es ese porque el grado del numerador es mayor que el de el numerador es más que suficiente.

¡Hola! Nos encantaría ayudarte, pero no solemos responder dudas universitarias que no tengan que ver específicamente con los vídeos que David ha grabado como excepción. O de otras asignaturas que no sean Matemáticas, Física y Química. Lo sentimos de corazón… Esperamos que lo entiendas.
Ojalá algún unicoo universitario se anime a ayudarte (de hecho, lo ideal es que todos los universitarios intentarais ayudaros los unos a los otros).
Una recta pasa por los puntos (-2,5) y (k,1), y su abscisa en el origen vale 3. Calcule k.
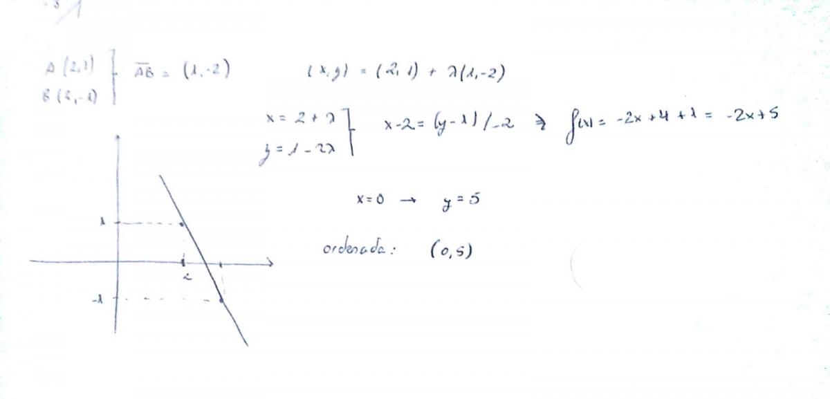
Calcule la ordenada en el origen de la recta que pasa por los puntos (2,1) y (3,-1).
y=mx+n (ecuación explícita de la recta)
Los puntos (2,1) y (3,-1) se traducen en este sistema de ecuaciones:
(1) 1=m*2+n
(2) -1=m*3+n
Despejamos n por ejemplo multiplicando (1) por 3 y (2) por -2:
(3) 3=6m+3n
(4) 2=-6m-2n
Sumamos (3) y (4):
5=6m-6m+3n-2n ----> n=5 --------> ORDENADA EN EL ORIGEN
Atención con la preposición "entre" (no se incluyen el 302=900 ni el 402=1600)
Se incluirían el 312, 322, 332, 342, 352, 362, 372, 382, 392
Tabla de los cuadrados perfectos entre 900 y 1600--> 961, 1024, 1089, 1156, 1225, 1296, 1369, 1444, 1521
http://www.ditutor.com/numeros_naturales/cuadrados_perfectos.html