
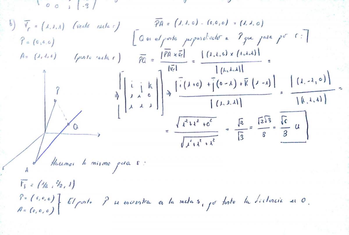
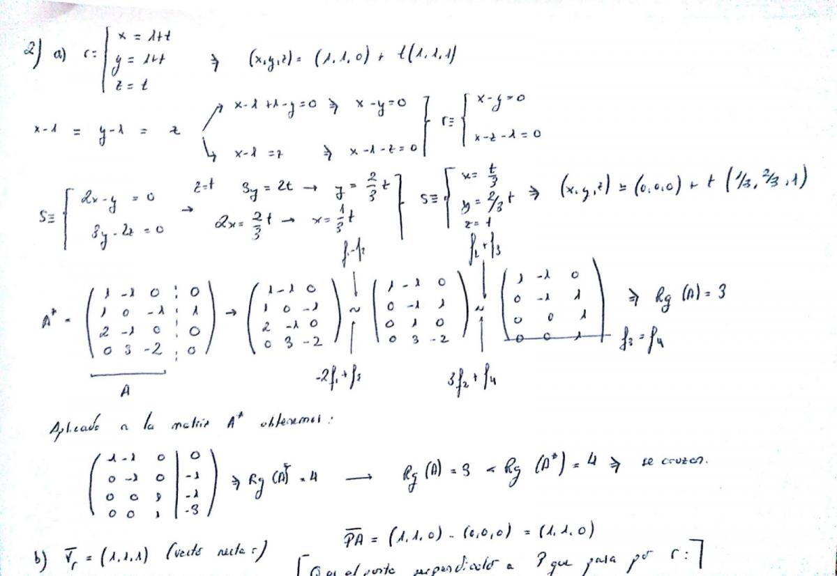
Es correcto, pero si te das cuenta, a la hora de obtener la distancia de P a la recta s, si pasamos las ecuaciones de la recta a paramétrica, y finalmente a la vectorial, podemos ver que el punto P coincide con el expresado en tal ecuación, por tanto P pertenece a s y deducimos que la distancia es 0
Una urna A contiene 3 bolas blancas y 4 negras. Se extrae una bola y sin verla se introduce en otra urna B que contiene 4 bolas blancas y 3 negras. A continuación se extraen de esta segunda urna dos bolas a la vez y se observa que son del mismo color. ¿Cuál es la probabilidad de que la primera bola extraida sea blanca?
Antonio, si pones 8 no habría límite: sería divergente
Para que sea una indeterminación 0/0 en principio y se obtenga de resultado un -3 (sea coherente con el enunciado y haya que modificar lo menos posible) habría que poner en el denominador un 10 donde pone 9
Enunciado correcto:
Límites 0/0 :
lim x→2 (x2-7x+10)/(x-2)
Respuesta: -3
Calcule la ecuación de (a) la recta vertical y (b) la recta horizontal que pasa por el punto dado.
(-2, 5/3)

a)
Puedes considerar un punto A que esté en la misma "vertical" que el punto dado, por ejemplo A(-2,0),
y observa que todos los puntos de la recta vertical tienen abscisa - 2,
por lo que la ecuación cartesiana es: x = - 2, para todo valor de la ordenada y.
b)
Puedes considerar un punto B que esté en la misma "horizontal" que el punto dado, por ejemplo B(0,5/3),
y observa que todos los puntos de la recta horizontal tienen ordenada 5/3,
por lo que la ecuación cartesiana es: y = 5/3, para todo valor de la abscisa x.
Espero haberte ayudado.
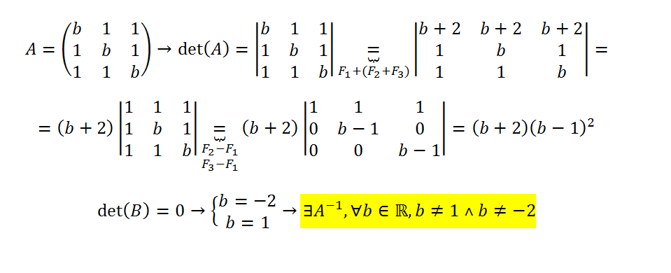
Hola a todos, me ayudarían a encontrar mi error? Yo hice varias veces y no me da cuando verifico. Gracias ![]()

yo he resuelto el sistema usando Cramer que creo que es más facil ya que aprovechas que ya tienes el determinante de los coeficientes calculado en la primera parte del ejercicio. A mi me da de resultado:
x= 1/(b+2) ; y = 1/(b+2) ; z= b/ b+2 Siempre que b ≠ (1, -2)
No sé si estará bien porque no das la solución.
Describa el gráfico de la inecuación siguiente.
y<x²