Considera los siguientes conjuntos:
A={z∈ℕ: z²≤20∧∃x∈ℤ(z=2x)}
B={z∈ℤ: |z|<6∧∃x∈ℤ(|z|=x²)}
C={0,{0,4},{-1,1},4}
Di razonadamente si son ciertas o falsas la siguientes afirmación:
∀x ∈ A∃y ∈ B∃z ∈ C(z≤x≤y).
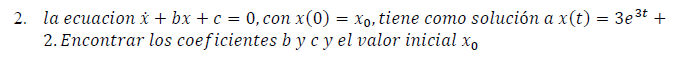
Derivamos respecto a t y reemplazamos la solución en la ecuación
x=9e3t
9e3t+b(3e3t+2)+c=0
9e3t+3be3t+2b+c=0
c=-9e3t-3be3t-2b
c=-9e3t-b(3e3t-2)
2=-9e3t-3be3t
b=(-9/2)e3t-(3/2)be3t-(1/2)c
c=-9e3t+(27/2)e6t+(9/2)be6t+(3/2)ce3t+9e3t+3be3t+c
(27/2)e6t+(9/2)be6t+(3/2)ce3t+3be3t=0
(3/2)ce3t=(-27/2)e6t-(9/2)be6t-3be3t
3ce3t=-27e6t-9be6t-6be3t
c=-9e3t-3be3t-2b
c=-9e3t-b(3e3t-2)
b=(-9/2)e3t-(3/2)be3t+(1/2)(-9e3t-b(3e3t+2))
b=(-9/2)e3t-(3/2)be3t+(9/2)e3t+(3/2)be3t+1
b=1
c=-9e3t-3e3t-2
c=-12e3t-2
Como x(0)=x0 reemplazamos en la solución y obtenemos x0:
x0=3e3(0)+2
x0=5
Buenos días, desde Argentina.
Me piden la derivada direccional de z=x²-3xy en la dirección de la tangente a la curva y=x²-x+2 en el punto (1,2).
Gracias.
formula para calcular litros de combustible en tanque cilindro elíptico con las siguientes medidas, eje mayor 1.24, eje menor 0.94, altura liquido 0.39, largo 2.50

Recuerda que para una elipse con semieje mayor a y semieje menor b, tienes que su área queda expresada: A = π*a*b.
Luego, si el tanque cilíndrico elíptico es recto, y tienes que la altura del líquido es h, tienes para el volumen ocupado por el líquido que es igual al producto de la superficie de la base del tanque por su altura, por lo que tienes:
VL = π*a*b*h.
Observa que con los datos de tu enunciado tienes (observa que no has consignado las unidades de longitud, por lo que queda que expreses el volumen en litros):
a = 1,24/2 = 0,62,
b = 0,94/2 = 0,47,
h = 0,39,
y solo falta que hagas el cálculo y expreses el resultado en litros.
Espero haberte ayudado.