
¡Hola! Nos encantaría ayudarte, pero no solemos responder dudas universitarias que no tengan que ver específicamente con los vídeos que David ha grabado como excepción. O de otras asignaturas que no sean Matemáticas, Física y Química. Lo sentimos de corazón… Esperamos que lo entiendas.
Ojalá algún unicoo universitario se anime a ayudarte (de hecho, lo ideal es que todos los universitarios intentarais ayudaros los unos a los otros).
Hola, necesito ayuda con un problema por favor. Gracias.
Una puerta en forma de arco parabólico tiene 12 pies de altura en el centro ´
y 5 pies de ancho en la base. Una caja rectangular de 9 pies de alto debe ser
deslizada a través de la puerta ¿Cual es el máximo ancho posible que puede tener la caja?
Dibujamos la parábola de modo que su vértice sea (0; 12) y sus raíces x = -2,5; x = 2,5.
Hallamos su ecuación con la fórmula y - k = a·(x - h)², donde (h;k) son las coordenadas del vértice. Entonces,
y - 12 = a·(x-0)²
y - 12 = a·x²
Como el punto (2,5; 0) pertenece a la parábola, tenemos que:
0 - 12 = a·(-2,5)²
-12 = a·6,25
-12/6,25 = a
-1,92 = a
Entonces, la parábola tiene ecuación y - 12 = -1,92·x²
Para averiguar el ancho de la caja rectangular, debemos encontrar los puntos (x; 9) pertenecientes a la parábola. Como pertenecen a ella, reemplazamos:
9 - 12 = -1,92·x²
-3/(-1.92) =x²
√1,5625 = x
± 1,25 = x
Los puntos son (1,25; 9) y (-1,25; 9). La distancia entre ellos es el ancho de la caja.
Ancho = |-1,25 - 1,25| = 2,50 pies
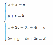
Consideremos el sistema de ecuaciones lineales
Determinad qué condiciones tienen que cumplir los parámetros a, b, c, d a fin de que el sistema sea compatible indeterminado, con un grado de libertad.
Considera los siguientes conjuntos:
A={z∈ℕ: z²≤20∧∃x∈ℤ(z=2x)}
B={z∈ℤ: |z|<6∧∃x∈ℤ(|z|=x²)}
C={0,{0,4},{-1,1},4}
Encuentra C\A.
Considerando ℕ={1,2,3,4....}
z∈ℕ: z²≤20 ----> {1,2,3,4}
∃x∈ℤ(z=2x) -----> {2,4}
{z∈ℕ: z²≤20∧∃x∈ℤ(z=2x)} -----> {1,2,3,4} ∩ {2,4} = {2,4}= A
C={0,{0,4},{-1,1},4}
C\A= C-A ={0,{0,4},{-1,1},4} - {2,4} = { 0,{0,4},{-1,1} }
-------------------------------------------------------------------------------------------
Considerando ℕ={0,1,2,3,4....}
z∈ℕ: z²≤20 ----> {0,1,2,3,4}
∃x∈ℤ(z=2x) -----> {0,2,4}
{z∈ℕ: z²≤20∧∃x∈ℤ(z=2x)} -----> {0,1,2,3,4} ∩ {0,2,4} = {0,2,4}= A
C={0,{0,4},{-1,1},4}
C\A= C-A ={0,{0,4},{-1,1},4} - {0,2,4} = { {0,4},{-1,1} }
Va de prueba, corrígeme :D

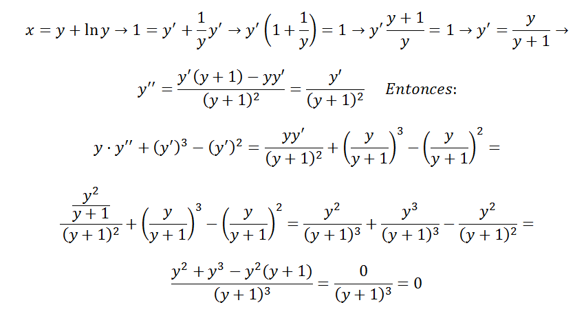
Tienes la ecuación:
x2 + ln(y + 1) = 4 (1), que define a y como función de x en forma implícita,
luego derivas con respecto a x en todos los términos (observa que en el segundo debes aplicar la regla de la cadena):
2x + ( 1/(y + 1) )*y ' = 0, haces pasaje de término y queda:
( 1/(y + 1) )*y ' = - 2x, haces pasaje de divisor como factor y queda:
y ' = - 2x*(y + 1) (2).
Luego, tienes la abscisa del punto de contacto: x0 = 2,
reemplazas en la ecuación señalada (1) y queda:
22 + ln(y + 1) = 4, resuelves el primer término, haces pasaje de término y queda:
ln(y + 1) = 0, compones con la función inversa del logaritmo natural y queda:
y + 1 = 1, haces pasaje de término y queda: y0 = 0, que es la ordenada del punto de contacto: P0(2,0);
luego reemplazas en la ecuación señalada (2) y queda:
y ' = - 2*2*(0 + 1) = - 4 = m, que es la pendiente de la recta tangente a la curva en el punto de contacto,
cuya ecuación cartesiana queda:
y - 0 = - 4*(x - 2), cancelas el término nulo, distribuyes y queda:
y = - 4*x + 8, que es la ecuación cartesiana explícita de la recta tangente.
Espero haberte ayudado.
Hola necesito ayuda con este ejercicio de integrales triples.. Si alguien me ayuad se lo agradeceria
Hallas el volumen de la esfera y le restas el del trozo de un plano en 9 hasta el 10. Restando la ecuación de la esfera menos la del plano. Con proyección una circunferencia, el radio se mueve de 0 a 4,5. Uno de los ángulos de 0 a 2π. Y el otro de 0 a π/2 para quitar el trozo que no tiene aceite. Creo que calcular el volumen de la esfera por triple no tiene problema.

Hemos intentado graficar en la imagen la proyección del sólido sobre el plano coordenado OYZ (el eje OX sale de la imagen).
Observa que hemos dividido el sólido en dos partes:
1)
Una parte cónica (coloreada en marrón), limitada lateralmente por el semicono cuya ecuación cartesiana es:
z = (4/3)*√(x2 + y2), y cuya ecuación en coordenadas esféricas con eje OZ es: φ = arctan(3/4), y superiormente por el plano cuya ecuación cartesiana es z = 2, y cuya ecuación en coordenadas esféricas es: ρ = 2/cosφ, y observa que la parte cónica rodea completamente al eje OZ
Luego, los límites de integración quedan:
0 ≤ ρ ≤ 2/cosφ (los radios van "desde el origen hasta el plano"),
0 ≤ φ ≤ arctan(3/4) (el ángulo va "desde el semieje OZ positivo hasta el cono"),
0 ≤ θ ≤ 2π (el sólido "rodea completamente al eje OZ").
Luego, el volumen queda (recuerda que el factor de compensación, o Jacobiano, es: |J| = ρ2*senφ):
V1 = ∫∫∫ 1*dx*dy*dz = ∫∫∫ 1*ρ2*senφ*dρ*dφ*dθ = y puedes continuar la tarea.
2)
Una parte esférica incumpleta, limitada por el semicono,
y observa que la ecuación de la esfera es: ρ = 5.
Luego, los límites de integración quedan:
0 ≤ ρ ≤ 5 (los radios van "desde el origen hasta la esfera"),
arctan(3/4) ≤ φ ≤ π (el ángulo va "desde el cono hasta el semieje OZ negativo"),
0 ≤ θ ≤ 2π (el sólido "rodea completamente al eje OZ").
Luego, el volumen queda (recuerda que el factor de compensación, o Jacobiano, es: |J| = ρ2*senφ):
V2 = ∫∫∫ 1*dx*dy*dz = ∫∫∫ 1*ρ2*senφ*dρ*dφ*dθ = y puedes continuar la tarea.
3)
Luego sumas los resultados y tienes el volumen total del sólido:
V = V1 + V2.
Espero haberte ayudado.
Buenas a todos!
El problema es el siguiente!
tengo un universo de 9 numeros... del 1 al 9.
y deseo calcular las comb. posibles con 4 cifras pero solo que se repitan 2 nros entre cada combinación:
la combinatoria común sería:
1-2-3-4
1-2-3-5
1-2-3-6
1-2-3-7
1-2-3-8
1-2-3-9
1-2-4-5
1-2-4-6
etc
pero yo necesito que entre si solo se repitan 2 numeros...
ejemplo:
1-2-3-4
1-2-5-6
1-2-7-8
1-3-5-7
necesito una formula si hay para calcular total de combinaciones posibles.
Muchas gracias!

Vamos con un planteo, y vamos por etapas:
1°) Elige las dos cifras que se repetirán en varias combinaciones:
N1 = C(9,2) = 9! / 2!7! = 36 posibilidades:
12 13 ... 19 (8 posibilidades), 23 24 ... 29 (7 posibilidades), 34, 35 ... 39 (6 posibilidades) ( ... ) 89 (1 posibilidad),
y en total tienes: N1 = 8 + 7 + 6 + 5 + 4 + 3 + 2 + 1 = 36 posibilidades.
2°) Elige dos entre las siete cifras que quedan:
N2 = C(7,2) = 7! / 2!5! = 21 posibilidades.
3°) Como por cada par de cifras elegidas en la primera etapa tienes tantas posibilidades para la segunda,
por el principio de multiplicación tienes:
N = 36*21 = 756 posibilidades.
Espero haberte ayudado.

no me parece que no me entendiste...
puse el enunciado simplificado pero el problema real es el siguiente:
tengo 90 numeros.... del 1 al 90
necesito generar cartones de numeros que solo tengan 5 nros repetidos entre si...
ejemplo:
carton 1: 1 - 2 - 3 - 4 - 5 - 6 - 7 - 8 - 9 - 10
carton 2: 1 - 2 - 3 - 4 - 5 - 11 -12 - 13 -14 - 15
y así buscando cartones que como máximo se repitan 5 numeros entre si.