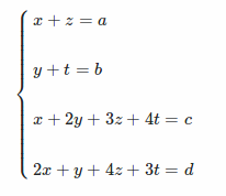
Consideremos el sistema de ecuaciones lineales
Determinad qué condiciones tienen que cumplir los parámetros a, b, c, d a
fin de que el sistema sea compatible indeterminado con dos grados de
libertad.
Considera los siguientes conjuntos:
A={z∈ℕ: z²≤20∧∃x∈ℤ(z=2x)}
B={z∈ℤ: |z|<6∧∃x∈ℤ(|z|=x²)}
C={0,{0,4},{-1,1},4}
Encuentra (A\B)∩(C\A).
Considerando ℕ={1,2,3,4....}
z∈ℕ: z²≤20 ----> {1,2,3,4}
∃x∈ℤ(z=2x) -----> {2,4}
A= {z∈ℕ: z²≤20∧∃x∈ℤ(z=2x)} -----> {1,2,3,4} ∩ {2,4} = {2,4}= A
C={0,{0,4},{-1,1},4}
C\A={0,{0,4},{-1,1},4} - {2,4} = { 0,{0,4},{-1,1} }= C-A
z∈ℤ: |z|<6 -------> {-5,-4,-3,-2,-1,0,1,2,3,4,5}
∃x∈ℤ(|z|=x²) --------> {-4,-1,0,1,4}
B={z∈ℤ: |z|<6∧∃x∈ℤ(|z|=x²)} ---------> {-4,-1,0,1,4}= B
A-B= {2,4} - {-4,-1,0,1,4} = {2}
(A\B)∩(C\A) = (A-B)∩(C-A) = {2} ∩ { 0,{0,4},{-1,1} } = { } = Conjunto vacío
Buenas noches unicos, en mi pais es de noche. Vengo con un problema el cual espero alguien me pueda ayudar en ma resolucion o explicar que temas puedo repasar para poder resolver problemas similares. El ejeecicios es el de la figura 1, en dicha figura los dos cuadrados son identicos y de lado 1 cm. Pide hallar el área sombreada, espero que alguien pueda ayudarme muchas gracias de antemano. ![]()

Puedes probar que el logaritmo en base b de la expresión del primer miembro es igual al logaritmo en base b de la expresión del segundo miembro,
y para que sea más sencilla la notación, haz la sustitución: w = Log(b) (observa que w es un logaritmo en base b) , luego sustituyes y la igualdad queda:
bLog(w)/w / w = 1, tomas logaritmos en base b en ambos miembros y queda:
Log( bLog(w)/w / w ) = Log(1), aplicas la propiedad del logaritmo en base b de una división en el primer miembro, resuelves el segundo miembro y queda:
( Log(w)/w )*Log(b) - Log(w) = 0, aplicas la sustitución en el segundo factor del primer término y queda:
( Log(w)/w )*w - Log(w) = 0, simplificas en el primer término y queda:
Log(w) - Log(w) = 0, resuelves el primer miembro y queda:
0 = 0, que es una identidad verdadera, por lo que se verifica la igualdad.
Espero haberte ayudado.
Imaginemos hacer un corte a través de un plano vertical que contenga el eje del cono (y también un diámetro del hemiesferio). Dibujemos las figuras que imaginamos ver: un triángulo isósceles ABC de base AC = 2 R, siendo R el radio del cono, el vértice B y altura h que corta a la base AC en D. Tracemos también un radio perpendicular a BC de manera que sea E el punto de corte. En ese conexto, se tiene lo siguiente:
R = AD = DC
El segmento BE queda definido por Pitágoras en la forma
BE² = BD² - DE²
O sea
BE² = h² - a²
BE = √(h² - a²)
Los triángulos rectángulos BCD y BED tiene el lado BD y el ángulo B comunes y por ello son semejantes, luego se tiene la proporción entre sus catetos:
DC . . DE
----- = -----
BD . . BE
que reemplazando queda
R . . . . . .a
--- = --------------
h . . .√(h² - a²)
. . . . . .ah
R = ------------- . . . . . . . . . . . . [1]
. . . √(h² - a²)
Ahora bien, el volumen V del cono viene dado por
V = π/3 R²h
donde sustituyendo R por [1], resulta
. . . . . . . . . .ah²
V = π/3 -------------
. . . . . . .√(h² - a²)
Derivando para hallar el mínimo
. . . . . . . . 2h √(h² - a²) - h² . (2h/[2√(h² - a²)
V´ = πa/3 ----------------------------------------...
. . . . . . . . . . . h² - a²
. . . . . . . . 2h √(h² - a²) – h³/√(h² - a²)
V´ = πa/3 ----------------------------------------
. . . . . . . . . . . . . h² - a²
. . . . . . . . .2h (h² - a²) – h³
. . . . . . . . -----------------------
. . . . . . . . . . √(h² - a²)
V´ = πa/3 --------------------------
. . . . . . . . . . . h² - a²
. . . . . . . . . 2h³ - 2a² – h³
V´ = πa -----------------------------
. . . . . . 3 (h² - a²) √(h² - a²)
. . . . . . . . . . h³ - 2a²
V´ = πa -----------------------------
. . . . . . .3 (h² - a²) √(h² - a²)
Igualando a cero y multiplicando por el denominador
0 = πa (h³ - 2a²)
πah³ = 2πa³
h³ = 2a²
. . . 3____
h = √2a²
Como
la curva que representa la función de h es abierta dando valores cada
vez más grandes a medida que aumenta “a”, entonces el punto hallado
tiene que ser un mínimo.
ESTOY HACIENDO ESTE EJERCICIO plantee la parte para hallar la matriz asociada a las bases canonicas de R*3 y de P1 y me dio pero para hallar la matriz asociada a T no supe que hacer..
la primera parte me quedo matriz asociada de S en A y B
T(1,0,0)= (a+b)x + c= (si a vale 1 y b y c = 0) =(1, 0)
T(0,0,1= (1,0)
T(0,0,1) =0,1)
ESO Esta bien hacerlo asi?
De una baraja de 52 cartas se han extraido 3 cartas ¿cual es la probabilidad de que salgan 2 ases?

Suponiendo que el ejercicio se efectúa sin reemplazo de las cartas extraídas previamente, es decir, que si tenemos 52, al sacar una, la siguiente la sacaremos quedando 51 y, la última, quedando 50...
La probabilidad que, de 3 cartas, dos sean ASES se efectúa como:
DATOS
52 Cartas totales
4 Ases totales
48 Cartas restantes aleatorias
A = Ases
X = Carta aleatoria
Nuestra probabilidad de tener 2 ases de las 3 cartas será que cojamos DOS ASES Y UNA CARTA ALEATORIA ó UN AS, UNA CARTA ALEATORIA Y UN AS ó UNA CARTA ALEATORIA Y DOS ASES.
En matemáticas: cuando decimos "y" ponemos un por. (·)
cuando decimos "o" ponemos un más. (+)
P (A A X) + (A X A) + P (X A A)
En la opción 1, P ( A A X)
Como hay 4 ASES en las barajas de Póker tradicionales, la primera carta la extraeremos como: 4/52.
Y la siguiente la obtendremos como: 3/51. Porque debemos suponer que la hemos obtenido en la anterior y que, al mismo tiempo, hay una carta menos en la baraja porque no se reemplaza. Después, para cumplir el resto del condicionante, debemos suponer que ya sólo podemos obtener cartas aleatorias, por tanto, tendremos: 48/50.
Si tienes alguna duda acerca de esto, te recomendaría la lista de vídeos de David sobre probabilidad: https://www.youtube.com/watch?v=Gwjbadd3W9Q&index=2&list=PLOa7j0qx0jgO0QePXkf32LHi1mlj39tA-
Espero haberte ayudado.