¡UPS! Para ver vídeos en la web debes estar registrado, es totalmente gratuito.

Recuerda además que sólo por ser unicoo, GRATIS, podrás dejar tus dudas en los foros de beUnicoos, acumularás energy y help points y ganarás decenas de medallas. Registrarte solo te llevará unos segundos. Nosotros somos unicoos ¿y tú? #nosvemosenclase

Ecuación exponencial de segundo grado

Resolveremos una ECUACION EXPONENCIAL de segundo grado, recurriendo a cambio de variable

Para comprender un poco mejor los logaritmos, puedes echarle un vistazo a los videos de logaritmos en esta sección de la web.

Agregar a mi mochila
0/ 286

* Para utilizar tu mochila o guardar tu progreso y acumular energy points debes ser usuario registrado. Regístrate o inicia sesión

Foro de preguntas y respuestas

logo beUnicoos
Los foros de unicoos se han unificado en nuestra nueva plataforma beUnicoos. Para dejar nuevas preguntas deberás hacerlo allí, donde además podrás encontrar nuevas asignaturas y herramientas para ayudarte más con tus estudios.
  • icon

    Marco
    el 17/4/18

    Oye yo soy PRO en unicoos pero no me deja abrir el material para PROS ¿que hago?

    replythumb_up0 voto/sflag
    icon

    Antonius Benedictus
    el 17/4/18

    Manda un correo a unicoos.com, al soporte técnico. Mira abajo del todo.

    thumb_up0 voto/sflag
  • icon

    Dina R.
    el 9/8/17

    Y como se diferencia una ec. exponencial de primer grado de una de segundo grado?? Es que no sé diferenciarlas. 

    replythumb_up0 voto/sflag
    icon

    David
    el 13/8/17

    A grandes rasgos, si al hacer cambio de variable te queda t² es de segundo grado... Si solo hay "t" es de primer grado.. 

    thumb_up2 voto/sflag
  • icon

    Lenin Duque
    el 18/6/17

    una pregunta , si en las soluciones de la ecuación de segundo grado me salieran dos numeros distintos que tengo que hacer

    replythumb_up1 voto/sflag
    icon

    Antonius Benedictus
    el 18/6/17

    Igualar la exponencial a ca uno de ellos por separado.

    thumb_up1 voto/sflag
  • icon

    Andrea Barrera Torres
    el 12/5/17

    Hola de nuevo, la respuesta de 4x=2x-6 sería -3??

    replythumb_up1 voto/sflag
    icon

    Antonius Benedictus
    el 12/5/17

    2^(2x)=2^(x-6)

    2x=x-6

    x=-6

    thumb_up0 voto/sflag
  • icon

    Andrea Barrera Torres
    el 12/5/17

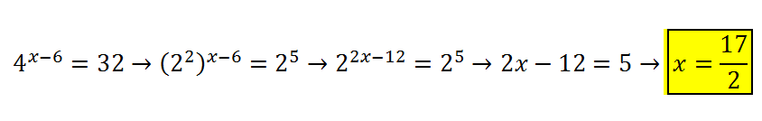
    Hola, y como se haría 4x-6 = 32      

    Gracias!!!

    replythumb_up0 voto/sflag
    icon

    Antonius Benedictus
    el 12/5/17


    thumb_up1 voto/sflag
  • icon

    Ainhoa Viñales Cano
    el 27/3/17

    ¿Cómo sabes cuando tienes que hacer el cambio de variable?

    replythumb_up0 voto/sflag
    icon

    Antonius Benedictus
    el 27/3/17

    Cuando las exponenciales están ligadas por sumas y restas, no pudiendo utilizar las propiedades de las potencias, y , además se observa una regularidad entre ellas.

    thumb_up0 voto/sflag
  • icon

    Ale
    el 15/2/17
    flag

    Ese ejercicio estaría bien? Es a partir de la d). Es que la z ( yo le he llamado t) me da dos resultados

    replythumb_up0 voto/sflag
    icon

    Antonius Benedictus
    el 15/2/17

    La ecuación de segundo grado está mal resuelta. Repásala. Quedan:

    t=1

    t=3

    thumb_up0 voto/sflag
  • icon

    Jose Luis Martinez
    el 13/2/17
    flag

    una pregunta como harias  (3x+2 :2x=5)



    replythumb_up0 voto/sflag
    icon

    Antonius Benedictus
    el 13/2/17


    thumb_up0 voto/sflag
  • icon

    Victoria
    el 11/6/16
    flag

    Una pregunta, si en una ecuación exponencial al hacer la ecuación de segundo grado me dan dos soluciones, ¿cual cojo?

    replythumb_up0 voto/sflag
    icon

    David
    el 11/6/16

    Ambas...

    thumb_up0 voto/sflag
  • icon

    Mariam
    el 6/12/15

    Una pregunta.
    ¿En qué tipo de problemas se utilizan ecuaciones exponenciales?

    replythumb_up0 voto/sflag
  • icon

    Juan Machare
    el 5/8/15
    flag

    Pregunta. Si tengo un ejercicio con el siguiente modelo:
    (a+b)^x + (a-b)^x = c
    Para resolverlo puedo aplicar logaritmos de la siguente forma:
    Log_c(a+b)^x + Log_c(a-b)^x= 1 ??
    Aclaro que el guion bajo es para señalar la base del logaritmo, osea son logaritmos base "c" en este caso.

    replythumb_up0 voto/sflag
    icon

    David
    el 5/8/15

    Para dudas que no tienen que ver explicitamente con el vídeo, lo ideal es que uséis los foros generales de matemáticas, física y química...

    thumb_up0 voto/sflag
  • icon

    Denisse
    el 27/5/15

    Duda existencial:
    Yo obtuve el mismo resultado pero no se, si mi desarrollo fue el correcto o salió por suerte, y fue el siguiente:
    9^x-6*3^(x+1)+81=0
    (9^(x))-(9^(x)*2^(1))=9^(2) z=(9^(x))
    z-z*2=9^(2)..........z-2z=9^(2).........-z=9^(2)
    -9^(x)=9^(2)........x=2

    replythumb_up0 voto/sflag
  • icon

    Mateo
    el 17/2/15

    Min 3:50 , dices que hay una solución doble en la ec. de segundo grado, perdona mi ignorancia, pero qué significa que hay solución doble? sirve de algo?...etc

    replythumb_up0 voto/sflag
    icon

    David
    el 17/2/15

    :-) Que la solucion es doble... Que es la misma, pero se repite dos veces... No, no afecta en nada... Simplemente tienes una solucion, x=9.... y no dos soluciones... ¿mejor?

    thumb_up5 voto/sflag