Foro de preguntas y respuestas de Matemáticas

logo beUnicoos
Los foros de unicoos se han unificado en nuestra nueva plataforma beUnicoos. Para dejar nuevas preguntas deberás hacerlo allí, donde además podrás encontrar nuevas asignaturas y herramientas para ayudarte más con tus estudios.

  • icon

    Ede Gonza
    el 12/6/17

     hola alguno sabria como se plantea el ejercicio 21?

    replythumb_up0 voto/sflag
    icon

    Antonius Benedictus
    el 12/6/17


    thumb_up0 voto/sflag
  • icon

    Manuel
    el 12/6/17

    ¿Cuáles son las dimensiones de un terreno rectangular, si su perímetro es 44 kilómetros y su área es 120 kilómetros cuadrados?

    replythumb_up0 voto/sflag
    icon

    Antonio
    el 12/6/17

    2x+2y=44

    xy=120

    thumb_up0 voto/sflag
    icon

    Manuel
    el 12/6/17

    ¿Cómo obtienes la respuesta?

    thumb_up0 voto/sflag
    icon

    Antonio
    el 12/6/17

    Sea x el ancho e y el largo del terreno rectangular

    su perímetro es 44 kilómetros: 2x+2y=44

    su área es 120 kilómetros cuadrados: xy=120

    y ahora a resolver el sistema:

    2x+2y=44

    xy=120


    thumb_up0 voto/sflag
    icon

    Guillem De La Calle Vicente
    el 12/6/17


    thumb_up1 voto/sflag
  • icon

    Manuel
    el 12/6/17

    Determina las ecuaciones de las rectas cuyas gráficas corten la gráfica de la parábola y=x2 en (a) dos puntos, (b) un punto, y (c) ningún punto. (Hay más de una respuesta correcta.) 

    replythumb_up0 voto/sflag
    icon

    Antonio
    el 12/6/17

    y=1

    y=0

    y=-1

    thumb_up0 voto/sflag
    icon

    Manuel
    el 12/6/17

    ¿Cómo obtienes la respuesta?

    thumb_up0 voto/sflag
    icon

    Antonio
    el 12/6/17

    Haz el dibujo de la parábola,

    hay muchísimas rectas que cumplen las condiciones

    te puse una de ellas, pero hay muchísimas más

    thumb_up0 voto/sflag
    icon

    Guillem De La Calle Vicente
    el 12/6/17


    thumb_up1 voto/sflag
  • icon

    Jorge
    el 12/6/17

    Las longitudes de las diagonales de un paralelogramo son 30 metros y 40 metros. Encuentra las longitudes de los lados del paralelogramo si las diagonales se intersecan a un ángulo de 34º.

    replythumb_up0 voto/sflag
    icon

    Antonius Benedictus
    el 12/6/17


    thumb_up0 voto/sflag
    icon

    Guillem De La Calle Vicente
    el 12/6/17

    No 

    thumb_up0 voto/sflag
    icon

    Guillem De La Calle Vicente
    el 12/6/17

    El no se me ha colado!! Perdón.


    thumb_up0 voto/sflag
  • icon

    Fran
    el 12/6/17

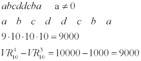
    Como hallo en numero de capicúas ocho cifras?? Explicado

    replythumb_up0 voto/sflag
    icon

    Antonio
    el 12/6/17

    por cada número de 4 cifras tienes  un numero capicúa ocho cifras, solo tienes que ponerle a continuación el contrario.

    ojo con los que empiezan por ceros, no valen.

    thumb_up0 voto/sflag
    icon

    Fran
    el 12/6/17

    ya, pero como saco la formula para averiguar la cantidad.

    se que son 9000 pero como llego a ese punto

    thumb_up0 voto/sflag
    icon

    Guillem De La Calle Vicente
    el 12/6/17


    thumb_up1 voto/sflag
    icon

    César
    el 12/6/17

    dos maneras

    thumb_up0 voto/sflag
  • icon

    Jorge
    el 12/6/17

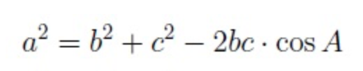
    Para aproximar la longitud de un pantano, un topógrafo camina 425 metros del punto A al punto B. Luego gira 65º y camina 300 metros al punto C (ver figura). Aproxima la longitud AC del pantano.


    replythumb_up0 voto/sflag
    icon

    Antonio
    el 12/6/17

    aplica el teorema del coseno: 

    thumb_up0 voto/sflag
    icon

    Guillem De La Calle Vicente
    el 12/6/17


    thumb_up1 voto/sflag
  • icon

    Darío
    el 12/6/17


    replythumb_up0 voto/sflag
    icon

    Guillem De La Calle Vicente
    el 12/6/17


    thumb_up0 voto/sflag
    icon

    Guillem De La Calle Vicente
    el 12/6/17


    thumb_up0 voto/sflag
  • icon

    Darío
    el 12/6/17


    replythumb_up0 voto/sflag
    icon

    Antonius Benedictus
    el 12/6/17

    Te va uno, Darío. Los demás se hacen igual:


    thumb_up0 voto/sflag
  • icon

    Darío
    el 12/6/17
    flag

    Los pesos de los átomos y las moléculas se miden en unidades de masa atómica (u). Una molécula de C2H6 (etano) está constituida por dos átomos de carbono y seis átomos de hidrógeno y pesa 30.070 u. Una molécula de C3H8 (propano) está constituida por tres átomos de carbono y ocho de hidrógeno y pesa 44.097 u. Encuentra los pesos de un átomo de carbono y un átomo de hidrógeno. 

    replythumb_up0 voto/sflag
    icon

    Antonius Benedictus
    el 12/6/17

    En el foro de Química, por favor.

    thumb_up0 voto/sflag
  • icon

    Celia R
    el 12/6/17


    Se tienen que intercambiar los valores? Alguien me puede ayudar :o


    replythumb_up0 voto/sflag
    icon

    Daniel González Enríquez
    el 12/6/17

    Creo que con lo de invertir  el orden de integración se refiere a esto


    thumb_up0 voto/sflag