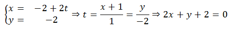
El vector director es (1,-2) y pasa por P, luego:
Alguien me puede explicar esto mejor.
Os pongo el enunciado:
Calcula la recta perpendicular a:
x = -1 + 2t
y = 5 + t
que pasa por el punto (-1,0).

Tienes las ecuaciones cartesianas paramétricas de la recta r:
x = - 1 + 2t
y = 5 + t
con t ∈ R,
y recuerda que la información inmediata es:
un punto perteneciente a la recta, cuyas coordenadas son los términos independientes: A(-1,5),
el vector director, cuyas componentes son los coeficientes que multiplican al paámetro t: u = < 2 , 1 >.
Luego, tienes que el vector w = < a , b >, director de la recta parpendicular r, debe ser perpendicular a u,
por lo que planteas que su producto escalar es igual a cero:
u • w = 0, sustituyes y queda:
< 2 , 1 > • < a , b > = 0, desarrollas el producto escalar y queda:
2a + b = 0, de donde puedes despejar: b = - 2a,
luego reemplazas en la expresión del vector w y queda:
w = < a , - 2a > = a * < 1 , - 2 >,
por lo que tienes que un vector director de la recta perpendicular puede ser: w = < 1, - 2 >.
Luego, como tienes que el punto B( - 1 , 0 ) pertenece a la recta,
puedes plantear sus ecuaciones cartesianas paramétricas:
x = - 1 + p
y = 0 - 2p,
con p ∈ R.
Espero haberte ayudado.
Buenas tardes, alguien me puede ayudar con este problema de probabilidad. Muchas gracias!
Un examen de tipo test consta de 10 preguntas, cada una con 3 respuestas posibles , de las cuales sólo una es correcta. ¿Cuántas posibles respuestas distintas se pueden dar al azar? ¿Cuántas de ellas tendrán exactamente 7 respuestas correctas? ¿Cuál es la probabilidad de tener 7 respuestas correctas?
Tengo un arroz con mango con esto , alguien me podría ayudar, necesito entender bien, se los agradecería
a) Encuentre el árbol final T si los números se insertan en un árbol binario de búsqueda vació T.
b) Considere el árbol T construido en el ítem a).Si al árbol se elimina ITEM=35, encuentre el nuevo árbol T.
c) Encuentre el montículo final H si los números se interceptan en un minheap (Montículo mínimo ) vació H.

¡Hola! Nos encantaría ayudarte, pero no solemos responder dudas universitarias que no tengan que ver específicamente con los vídeos que David ha grabado como excepción. O de otras asignaturas que no sean Matemáticas, Física y Química. Lo sentimos de corazón… Esperamos que lo entiendas.
Ojalá algún unicoo universitario se anime a ayudarte (de hecho, lo ideal es que todos los universitarios intentarais ayudaros los unos a los otros).
Hola buenas , alguien me podría ayudar plis
1- Construya el árbol de la expresión algébrica
2-Escriba la forma de prefijo.
Muchas gracias de ante mano gracias.

¡Hola! Nos encantaría ayudarte, pero no solemos responder dudas universitarias que no tengan que ver específicamente con los vídeos que David ha grabado como excepción. O de otras asignaturas que no sean Matemáticas, Física y Química. Lo sentimos de corazón… Esperamos que lo entiendas.
Ojalá algún unicoo universitario se anime a ayudarte (de hecho, lo ideal es que todos los universitarios intentarais ayudaros los unos a los otros).
Tengo un ejercicio que es (𝑓·𝑔)(𝑥) de 𝑓(𝑥)=𝑥−3/2𝑥+1 𝑖 𝑔(𝑥)=4𝑥2−1, pero no se si el resultado está bien, me da -8x2+3/2x+1, ya que solo he multiplicado g(x) por x-3 pero por el de abajo no.

Tienes las expresiones de las funciones:
f(x) = (x - 3)/(2x + 1), cuyo dominio es: Df = R - { 1/2 };
g(x) = 4x2 - 1 = factorizas = (2x - 1)(2x + 1), cuyo dominio es: Dg = R.
Luego, por definición de función producto de dos funciones, tienes:
(f*g)(x) = f(x) * g(x) = (x - 3)/(2x + 1) * (2x - 1)(2x + 1) = (x - 3)(2x - 1)(2x + 1) / (2x + 1),
luego simplificas y la expresión de la función producto queda:
(f*g)(x) = (x - 3)(2x - 1) = 2x2 - x - 6x + 3 = 2x2 - 7x + 3, cuyo dominio es: D = Df ∩ Dg= R - { 1/2 }.
Espero haberte ayudado.
Como factorizo x^2-2/3 x-17/3

Plantea la ecuación:
x2 - (2/3)x - 17/3 = 0, multiplica por 3 en todos los términos de la ecuación y queda:
3x2 - 2x - 17 = 0, que es una ecuación polinómica cuadrática, aplicas la fórmula resolvente, y sus soluciones son:
x1 = ( 2 + √(208) )/6 = ( 2 + 4√(13) )/6 = ( 1 + 2√(13) )/3,
x2 = ( 2 - √(208) )/6 = ( 2 - 4√(13) )/6 = ( 1 - 2√(13) )/3.
Luego, tienes que el coeficiente principal del polinomio del enunciado es 1,
y que los valores x1 y x2 son raíces del polinomio,
por lo que tienes que ( x - ( 1 + 2√(13) )/3 ) y ( x - ( 1 - 2√(13) )/3 ) son sus factores,
y la expresión factorizada queda:
P(x) = 1*( x - ( 1 + 2√(13) )/3 )*( x - ( 1 - 2√(13) )/3 ) ≅ 1*(x - 2,737)*(x + 2,070).
Espero haberte ayudado.
Hola quien me puede ayuda con un ejercicio de ecuacion diferencial de segundo orden utilizando metodo de coeficiientes indeterminados
el ejercicio es el siguiente y"+y´-6y=x senx

Vamos por etapas.
1°) Plantea la ecuación homogénea asociada:
yh ' ' + yh ' - 6yh = 0, cuya ecuación característica es:
r2 + r - 6 = 0, y sus raíces son: r1 = - 3 y r2 = 2;
luego, la expresión de la solución general de la ecuación homogénea queda:
yh = Ae-3x + Be2x (1).
2°) Observa que los términos no son polinómicos, ni seno, ni coseno,
por lo que puedes plantear como solución particular:
Y = axsenx + bsenx + cxcosx + dcosx, cuya derivada primera queda:
Y ' = asenx + axcosx + bcosx + ccosx - cxsenx - dsenx = - cxsenx + (a - d)senx + axcosx + (b + c)cosx,
y su derivada segunda queda:
Y ' ' = - csenx - cxcosx + (a - d)cosx + acosx - axsenx - (b + c)senx = - axsenx + (- b - 2c)senx - cxcosx + (2a - d)cosx;
luego sustituyes en la ecuación particular y queda:
(- a - c + 6a)xsenx + (- b - 2c + a - d + 6b)senx + (- c + a + 6c)xcosx + (2a - d + b + c + 6d)cosx = xsenx,
reduces términos semejantes en los coeficientes y queda:
(5a - c)xsenx + (a + 5b - 2c - d)senx + (a + 5c)xcosx + (2a + b + c + 5d)cosx = 1xsenx + 0senx + 0xcosx + 0cosx,
luego, igualas coeficiente a coeficiente y tienes el sistema de cuatro ecuaciones con cuatro incógnitas:
5a - c = 1
a + 5b - 2c - d = 0
a + 5c = 0
2a + b + c + 5d = 0
Luego, queda que resuelvas el sistema, determines los valores de los coeficientes,
y expreses la solución particular (te dejo la tarea).
3°) Expresas la solución general de la ecuación diferencial del enunciado,
como la suma entre la solución general homogénea más la solución particular:
y = yh + Y.
Espero haberte ayudado.