Sigo sin comprender como seguir haciendo este tipo de series que están definidas por puntos suspensivos tales como las de la imagen adjunta. La demás que no están definidas por puntos suspensivos si que logro sacar su convergencia y de que tipo son, inculso haciendo su suma. Por favor si alguien me ayudara se lo agradecería muchísimo.![]()
Hola una duda
https://i.gyazo.com/a494d003e770108423f83c848db21f1c.png
En el segundo apartado, me da 22,61. Yo he puesto solo 22º
Es necesario poner los decimales en los grados?
Necesito resolver el siguiente ejercicio sin usar L'Hopital sólo con álgebra de derivadas .... sé que tiende a 0 por L'Hopital (tal y como sale en la imagen) pero necesito demostrarlo .... ayuda por favor.
Hola, tengo un ejercicio que me pide el volumen de una cicloide, pero su ecuacion es parametrica, queria utilizar el metodo del cilindro (creo que era ese su nombre), pero me confundo en la parte del radio..
EL radio deberia ser el valor en Y, que seria Y=a(1-cost), pero cual sería la t? y que hago con la x=a(t-sent)??
El ejercicio dice asi:
Determinar el volumen de la figura determinada por el giro de un arco de cicloide de ec: x=a(t-sent), y=a(1-cost)-..
Mi otra pregunta es, los limites de integracion cuales serian?

¡Hola! Nos encantaría ayudarte, pero no solemos responder dudas universitarias que no tengan que ver específicamente con los vídeos que David ha grabado como excepción. O de otras asignaturas que no sean Matemáticas, Física y Química. Lo sentimos de corazón… Esperamos que lo entiendas.
Ojalá algún unicoo universitario se anime a ayudarte (de hecho, lo ideal es que todos los universitarios intentarais ayudaros los unos a los otros).
Hola necesito ayuda con un ejercicio de Derivada en un punto:
f(x)= 2x+3 si x ≤3
x si x > 3
en x0 =3
Desde ya muchas gracias!!
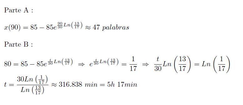
Ayuda con el siguiente ejercicio, es de ecuaciones diferenciables creo que por curva de aprendizaje, de verdad por mas que lo haga, no logro que me de el resultado y no me lo explicaron mucho en clase, dice asi
Un estudiante del idioma aleman tiene que memorizar 85 verbos desconocidos para el. En 30 minutos ha memorizado 20 verbos. De acuerdo a los psicologos, el ritmo a que una persona puede memorizar un conjunto de hechos es proporcional al numero de hechos todavia no memorizados. a) ¿ Cuantos verbos ha memorizado el estudiante en 90 min? ; b) ¿En cuanto tiempo memorizara 80 verbos?
R(a) = 47
R(b) = 5 h,17 min
De antemano, mil gracias!