cuando yo tengo ecuciones de rectas en el espacio del tipo y=o en ese caso el vector director es el (0,1,0) de la recta? y en el caso de tener una recta en el espacio definida por y=0 y x=0 ? cual seria su vector director y por que? gracias

Hola Natalia:
y=0 es un plano cuyo vector perpendicular (o normal) es (0,1,0)
La recta x=0, y=0 tiene como vector director el producto vectorial de (1,0,0)x(0,1,0) que da (0,0,1).
El vector director de una recta dada como intersección de dos planos es perpendicular a ambos vectores normales.
una pregunta si yo en este ejercicio yo no hago el producto vectorial de ambos en en el mismo orden sino inverso no 2,-1-4 sino 0.0,1 seria incorrecta la recta que crees o es tan bien valida? y en caso de no serlo... como se cual utilizar primero?
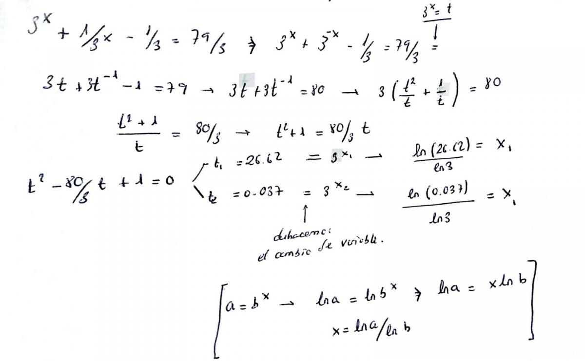
Hola, ¿podéis ayudarme con esta ecuación?
3x+1/3x-1/3=79/3

Para mayor precisión, puedes realizarlo sin numerizar la solución de la ecuación de 2º grado, es decir, hacerlo con fracciones, y dejar el resultado de forma fraccionaria, después aplicas los logaritmos y es la solución exacta, ya que al escribir la solucion de la ecuacion de 2 grado redondeando, perdemos precisión; yo hice la ecuación de 2 grado con la calculadora por comodidad.