hola¡¡ podrían despejarme : 0= (m/3) x 80 + (m/3) x A

Si esta bien copiada, el único valor que satisface la ecuación es que m=0 ya que al sacar factor común m/3, 80+A pasa dividiendo a 0, y queda m/3=0. Si repetimos pasando el 3 multiplicando a 0 queda m=0. La conclusión a la que llegas es que independientemente del valor que se le de a A, m debe ser 0.
En el caso de que trates de despejar la A, obtienes que para un valor fijo de m, A debe ser -80

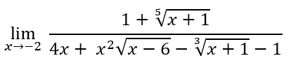
Tengo resuelto el ejercicio, el problema es que no entiendo bien como sale eso que esta encerrado en el cuadro rojo, en los demas si se que se resta con con alguna variable y depende si tiene raiz se pone potencia y de ahi se iguala a x+2 pero como sale ese (2x^2 -8) si en el problema solo hay un -1, expliquenme eso pls es lo que mas me raya
Hola, ¿Alguien sabe si hay subido algún vídeo de cónicas?
Hay algún vídeo de funciones logarítmicas que no sea de 2º de Bachiller? Estoy en 4º y acabo de empezar a darlas. Muchas gracias
paralelipedo es igual que el paralelogramo???
gracias

Un paralelepípedo es un poliedro de seis caras , en el que todas las caras son paralelogramos, paralelas e iguales dos a dos. Un paralelepípedo tiene 12 aristas, que son iguales y paralelas en grupos de cuatro, y 8 vértices.
Un paralelogramo es un cuadrilátero cuyos pares de lados opuestos son iguales y paralelos dos a dos
Los paralelogramos son: cuadrado, rectángulo, rombo y romboide
POR FAVOR RESUELVANME ESTA ECUACIÓN 🙏🙏🙏
2^x=x
Observamos que siempre que 2 se eleve a un número positivo NUNCA coincidirá el número del exponente con su solución ( siempre será menor el exponente que la solución)
2^3 = 8
2^2= 4
2^1= 2
2^0= 1
Cuando se eleve el 2 a un número negativo te dará un solución entre (0,1) tampoco se cumplirá nunca 2x= x :
2^-1= 1/2
2^-2=1/4
.
.
PODEMOS ASEGURAR QUE NO EXISTE NINGÚN VALOR DE x EN ℛ QUE SATISFAGA ESTA ECUACIÓN
EN REALIDAD ES UNA DESIGUALDAD:
2^x≠x Verdadero
2^x=x Falso