Hola, os presento este ejercicio del curso pasado del examen de una reserva de selectividad de Matemáticas aplicadas a CC.SS de Andalucía y os quería preguntar acerca del segundo apartado pues no entiendo qué procedimiento debo realizar. Es un problema de PROBABILIDAD. Gracias. Adjunto enunciado
Disponemos de tres dados. Dos de ellos tienen sus caras numeradas del 1 al 6 y el tercero tiene cinco caras numeradas con el 3 y la otra con el 1. Se elige al azar uno de los tres dados y se realiza el lanzamiento
a) Determina la probabilidad de que se obtenga un 3.
b) Determina la probabilidad de que se obtenga un número par.
c) Si se ha obtenido un 3, ¿cuál es la probabilidad de que hayamos elegido el tercer dado?
SOCIALES II. 2016. RESERVA 1. EJERCICIO 3. OPCIÓN B
Hola!! Estoy perdidísima con la regla de la cadena de la derivadas. Podrían explicarme como se resuelven estos dos apartados?![]()

Observa que la expresión de la función es un cociente:
f(x) = ex^2/x =u/v,
donde tienes:
u = ex^2, derivas (observa que debes aplicar la regla de la cadena) y queda: u ' = ex^2*2x,
v = x, derivas y queda: v ' = 1.
Luego, aplicas la regla de derivación para un cociente de funciones y queda:
f ' (x) = ( u ' * v - u * v ' ) / v2,
sustituyes expresiones y queda:
f ' (x) = ( ex^2*2x * x - ex^2 * 1 ) / x2 = ( 2x2*ex^2 - ex^2 ) / x2 = ex^2*(2x2 - 1)/x2.
Espero haberte ayudado.

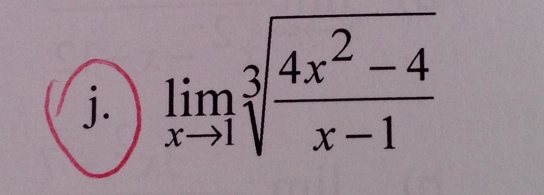
Observa que el límite es indeterminado, porque el numerador (N) y el denominador tienden ambos a cero cuando x tiende a uno.
Observa que puedes extraer la raíz cúbica fuera del argumento del límite.
Observa que el numerador de la expresión puede factorizarse:
N = 4x2 - 4 = 4(x2 - 1) = 4(x + 1)(x - 1).
Luego, observa que la expresión algebraica fraccionaria del argumento puede simplificarse:
(4x2 - 4) / (x - 1) = 4(x + 1)(x - 1) / (x - 1) = 4(x + 1).
Luego, puedes plantear para el límite del enunciado:
L = Lím(x→1) ∛( (4x2 - 4) / (x - 1) ) = ∛( Lím(x→1) (4x2 - 4) / (x - 1) ) = ∛( Lím(x→1) ( 4(x + 1) ) = ∛(8) = 2.
Espero haberte ayudado.
f(x)=2ex+x5
Como:
f(-inf) es -inf,
f(-1)<0
f(0)>0
f(inf) es inf
(( f(x) es estrictamente creciente en todo R ))
Aseguramos la existencia de una única raíz en el intervalo (-1,0) para f(x), o lo que es lo mismo: una única x que verifica 2ex+x5=0
http://www.vitutor.com/fun/3/c_3.html
http://www.vitutor.com/fun/6/teorema_rolle.html
De manera más formal:
a)http://www.vitutor.com/fun/3/c_3.html
http://www.vitutor.com/fun/6/teorema_rolle.html
b) Aplicando el teorema de Bolzano: como f(x)=2ex+x5 es una función contínua (suma de polinómica y exponencial) y cumple f(-1)<0 y f(0)>0, entonces existe al menos un x que cumple f(x)=0
c) f´(x) = 2ex+5x4
Como la derivada no se anula en ningún valor, está en contradicción con el teorema de Rolle, por lo que sólo tiene una raíz real.

Dibuja un triángulo rectángulo con un vértice en e origen, otro vértice en el punto P(-1,2) y el tercer vérticie en el punto A(-1,0).
Observa que el triángulo queda incluido en el segundo cuadrante, para el cuál los ángulos toman valores comprendidos entre 90° y 180°.
Luego, llama α al ángulo determinado por el semieje OX positivo y el segmento que une al origen con el punto P.
Luego, observa que las medidas de los lados del triángulo son:
base: |0A| = 1,
altura|AP| = 2,
hipotenusa: |0P| = √( (- 1)2 + 22 ) = √(1 + 4) = √(5).
Luego, tienes para el ángulo α:
cosα = - |OA|/|OP| = - 1/√(5) = - 1*√(5) / √(5)*√(5) = - √(5) / ( √(5) )2 = - √(5)/5;
senα = |AP|/|OP| = 2/√(5) = 2*√(5) / √(5)*√(5) = 2*√(5) / ( √(5) )2 = 2*√(5)/5.
Observa que se asigna signo negativo al numerador del coseno porque la base del triángulo está incluida en el semieje OX negativo.
Espero haberte ayudado.

Radio vector
r = sqrt[x² + y²] = sqrt[(-1)² + 2² ] = sqrt(5)
Por teoría de ángulo en posición normal
Seno = (ordenada ) / (radio vector)
Coseno = (abscisa) / (radio vector)
Como ya tienes el punto del lado terminal ya es directo .
Recuerda que ordenada es segunda componente y abscisa es primera componente.
De manera directa
Sen@ = 2/sqrt(5)
Cos@ = -1/sqrt(5)
Si racionalizas obtienes lo que allí te muestran