Foro de preguntas y respuestas de Matemáticas

logo beUnicoos
Los foros de unicoos se han unificado en nuestra nueva plataforma beUnicoos. Para dejar nuevas preguntas deberás hacerlo allí, donde además podrás encontrar nuevas asignaturas y herramientas para ayudarte más con tus estudios.

  • icon

    Gerardo Alburquerque
    el 3/6/17

    Alguien podría ayudarme con este ejercicio? es URGENTE por favor, sale la solución pero no sé el desarrollo

    replythumb_up0 voto/sflag
    icon

    César
    el 3/6/17

    Pon lo que has hecho


    thumb_up1 voto/sflag
    icon

    Antonius Benedictus
    el 3/6/17


    thumb_up1 voto/sflag
  • icon

    Juan Miguel Coll González
    el 3/6/17

    Qué ocurre si igualo las ecuaciones paramétricas de dos rectas en sus respectivas coordenadas (X de r = X de s)?

    Obtendré su punto de intersección?


    replythumb_up0 voto/sflag
    icon

    Guillem De La Calle Vicente
    el 3/6/17

    Si. Igual que si las igualas con su ecuación explícita. Ya que solamente es otra forma de expresar la recta.

    thumb_up0 voto/sflag
    icon

    César
    el 3/6/17

    Si claro, sera cuando las x sean iguales en ambas rectas, con la y lo mismo

    thumb_up0 voto/sflag
    icon

    Antonius Benedictus
    el 3/6/17

    Sí, pero usando PARÁMETROS DISTINTOS.

    thumb_up0 voto/sflag
  • icon

    B
    el 3/6/17

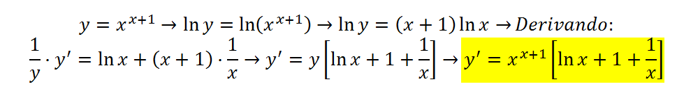
    Me pide el enunciado calcular la derivada de la siguiente función. Qué tipo de derivada es ? Cuál sería la fórmula? 


    replythumb_up0 voto/sflag
    icon

    Antonius Benedictus
    el 3/6/17

    icon

    Antonius Benedictus
    el 3/6/17


    thumb_up0 voto/sflag
  • icon

    Joaquin Aguirre
    el 3/6/17

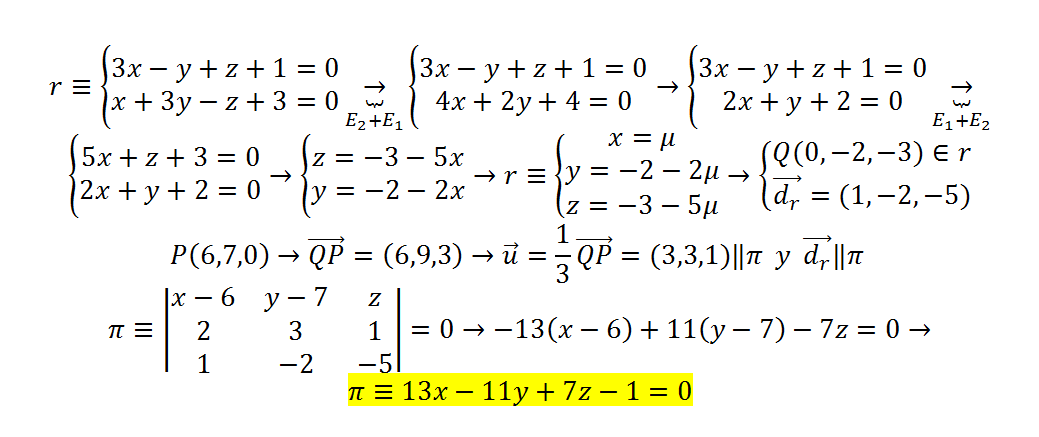
    Ayuda con este ejercicio estoy re perdido 

    replythumb_up0 voto/sflag
    icon

    César
    el 3/6/17


    thumb_up0 voto/sflag
    icon

    Antonius Benedictus
    el 3/6/17


    thumb_up0 voto/sflag
    icon

    Joaquin Aguirre
    el 3/6/17

    Antonio lo resolviste con haz de planos?

    thumb_up0 voto/sflag
    icon

    Antonius Benedictus
    el 4/6/17

    Se puede resolver con haz de planos, pero en este caso no lo he utilizado, pues en muchos sitios no lo explican.

    thumb_up0 voto/sflag
  • icon

    Sandra mendez
    el 3/6/17

    hola unicoos me podrian ayudar por favor... gracias :)

    replythumb_up0 voto/sflag
    icon

    Axel Morales Piñón.
    el 3/6/17

    El radicando debe ser mayor o igual que cero.

    20 - (x/2)≥ 0

    thumb_up1 voto/sflag
  • icon

    Nando Hull
    el 3/6/17

    Me ayudan con este ejercicio de analitica

    replythumb_up0 voto/sflag
    icon

    Antonius Benedictus
    el 3/6/17


    thumb_up0 voto/sflag
    icon

    Antonius Benedictus
    el 3/6/17


    thumb_up0 voto/sflag
  • icon

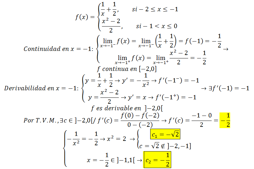
    Hack3r Sparrow
    el 3/6/17

    Cómo se hace este ejercicio? Cómo se pasa esta función a trozos teniendo en valor absoluto un logaritmo neperiano?

    replythumb_up0 voto/sflag
    icon

    Antonius Benedictus
    el 3/6/17


    thumb_up0 voto/sflag
  • icon

    fernando
    el 3/6/17

    Una duda, para estudiar las funciones primero debes tener conocimientos de geometria?

    replythumb_up0 voto/sflag
    icon

    Ángel
    el 3/6/17

    Suponiendo que te refieras a las figuras geométricas (ESO)

    Si está no muy cerca el examen: Hay que saber de todo, habrá muchas preguntas que no sepas responder de funciones si no sabes geometría. 

    Si está cerca el examen y si el examen es sobretodo de funciones: no te desanimes porque puedes aprobarlas sin saber geometría (aunque no sacar nota)

    Al menos donde yo estudié se podía aprobar bachillerato sin saber casi nada de geometría (gran error), pero también te digo que si no sabes geometría a la perfección en ciertos estudios superiores te arrepentirás de no haberlo hecho antes...


    Si te refieres a geometría analítica (Bachillerato), no se puede entender una sin la otra:

    Funciones ≈ geometría analítica


    thumb_up0 voto/sflag
    icon

    fernando
    el 3/6/17


    Es esto lo que debo estudiar de funciones , es mas que nada para no ir demasiado apurado, si me sale 1 pregunta de geometria no pasa nada, pero si sale 1 de funciones y necesito la geometria pues ya me fastidirian 2 preguntas jeje


    thumb_up0 voto/sflag
  • icon

    Victor
    el 3/6/17

    ¿Podríais echarme una mano con este ejercicio?



    replythumb_up0 voto/sflag
    icon

    Ángel
    el 3/6/17




    thumb_up0 voto/sflag
  • icon

    Ahlam.
    el 3/6/17

    Me podeis decir cual es el continua y cual es discontinua.

    replythumb_up0 voto/sflag
    icon

    Ángel
    el 3/6/17

    La a) es contínua en (-inf,-1] U [1,inf) y no está definida o lo que es lo mismo: presenta una discontinuidad en (-1,1)

    La b) es contínua en todo 


    thumb_up0 voto/sflag