Foro de preguntas y respuestas de Matemáticas

logo beUnicoos
Los foros de unicoos se han unificado en nuestra nueva plataforma beUnicoos. Para dejar nuevas preguntas deberás hacerlo allí, donde además podrás encontrar nuevas asignaturas y herramientas para ayudarte más con tus estudios.

  • icon

    Sarqui
    el 3/6/17

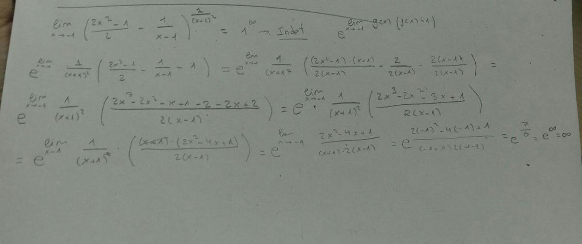
    ¿Está bien este límite? 

    replythumb_up0 voto/sflag
    icon

    Antonius Benedictus
    el 3/6/17

    No es  correcto:

    Por la izquierda saldría   e^(+inf)=+inf.

    Por la derecha  e^(-inf)=0

    El límite global no existe.

    thumb_up0 voto/sflag
    icon

    Sarqui
    el 4/6/17

    ¿Puedes hacerlo, por favor? A mi me sale infinito positivo tanto por la izquierda como por la derecha.

    thumb_up0 voto/sflag
  • icon

    Camila
    el 3/6/17

    Hola,la foto muestra un gráfico de la derivada de un función f . ¿Qué características se podría decir que tiene?

    replythumb_up0 voto/sflag
    icon

    LanzaDardos
    el 3/6/17


    thumb_up1 voto/sflag
    icon

    Antonio
    el 3/6/17

    Lanzadado: Tuviste un pequeño despiste

    El punto de inflexión es en el 1 y no en el -1

    igualmente a los intervalos de curvatura hay que cambiar el -1 por el 1


    thumb_up1 voto/sflag
    icon

    Camila
    el 4/6/17

    Hola,me quedo una duda 

    (-inf ; -4) u (0 ; 2) decrece?

    (-4 ;0) u (2; + inf) crece?

    thumb_up0 voto/sflag
    icon

    Antonio
    el 4/6/17

    f'(x)<0 => f(x) decrece

    f'(x)>0 => f(x) crece

    f'(x)=0 => f(x) tiene un extremo


    thumb_up1 voto/sflag
  • icon

    Amanda
    el 3/6/17


    Hola!!! Tengo una duda respecto a un problema de selectividad que nose como resolverlo.


    El problema consiste en hacer un sistema de ecuaciones donde nos da la matriz ampliada y tenemos que encontrar M. Hasta esa parte he podido llegar, pero me bloqueo cuando por ejemplo nos dice calcula x,y,z cuando M vale 1. Aquí te os dejo el problema a ver si me podríais decir como hacerlo, porque en todos los examenes que he hecho siempre me quedo en la misma parte y dejo de tener bastante puntuación.








































    replythumb_up0 voto/sflag
    icon

    Antonius Benedictus
    el 3/6/17

    Amanda, pon el enunciado que se ajusta a tu texto.

    thumb_up0 voto/sflag
    icon

    Amanda
    el 4/6/17


    thumb_up0 voto/sflag
  • Usuario eliminado
    el 3/6/17

    Hola Unicoos,

    Tengo la siguiente función: f(x,y)=e^(xy)

    Tengo que calcular y clasificar los puntos críticos de la función y si hay algún extremo relativo

    El problema que tengo es que cuando hago las derivadas parciales y las igualo a 0, el sistema me da X=Y.

    Después tendría que hacer el Hessiano, y si da mayor que 0, pues si f'xx>o es mínimo y si no es maximo.

    Entiendo lo que tengo que hacer, el problema que tengo es de calculo. 

    Ayuda por favor!

    replythumb_up0 voto/sflag
    icon

    Antonius Benedictus
    el 3/6/17


    thumb_up0 voto/sflag
  • icon

    Lucía
    el 3/6/17

    Muy buenas:

    Soy de 2º de bachiller y estoy un poco atascada en resolución de sistemas con matrices. si el rango de la matriz es 2 y el de la ampliada es 3 es un sistema incompatible? 

    Ayuda por favor que tengo la PAU en tres dias

    Gracias de antemano

    replythumb_up0 voto/sflag
    icon

    Antonius Benedictus
    el 3/6/17


    thumb_up1 voto/sflag
  • icon

    Guillem De La Calle Vicente
    el 3/6/17

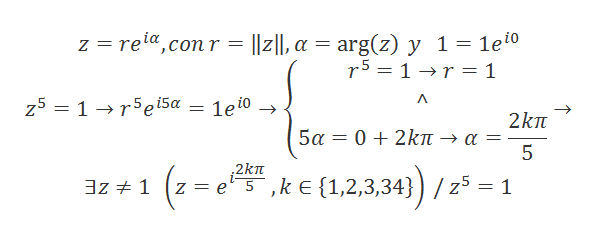
    Prueba que existe un número complejo z≠1 que z⁵-1=0.

    replythumb_up0 voto/sflag
    icon

    Antonius Benedictus
    el 3/6/17


    thumb_up0 voto/sflag
  • icon

    Carmen
    el 3/6/17

    En el vídeo de asíntotas (https://www.youtube.com/watch?v=yoAPeT7_mq8), el límite de -2 dice que es -3.Pero, ¿por qué? A mí me da 0.



    replythumb_up0 voto/sflag
    icon

    César
    el 3/6/17


    thumb_up0 voto/sflag
    icon

    Guillem De La Calle Vicente
    el 3/6/17


    thumb_up1 voto/sflag
    icon

    Ángel
    el 3/6/17

    Si eres de bachiller:

    lim(x->-2) (x3+8)/(x2-4) -----L´Hopital------->  lim(x->-2) (3x2)/(2x) = -3



    Si eres de la ESO:
    lim(x->-2) (x3+8)/(x2-4) = lim(x->-2) (x3+8)/[(x-2)(x+2)] =  ...................

    Observamos que x3+8=0 ---->  x3= -8 ---> x=∛-8 ---> x=-2
    Entonces sabemos que x3+8= ( ___________)*(x+2) ---------------> Para obtener (_________) tenemos que hacer la división de polinomios (x3+8)/(x+2)= x2-2x+4
    Deducimos de esto que x3+8= (x2-2x+4)*(x+2)

    ........................=lim(x->-2) [(x2-2x+4)*(x+2)]/[(x-2)(x+2)] =   lim(x->-2) (x2-2x+4)/(x-2)] =    -3

    thumb_up0 voto/sflag
    icon

    Ángel
    el 3/6/17

    Manda tu proceso con el que llegaste al cero y te decimos en qué has fallado y cómo corregirlo.


    *Paso1: cero dividido entre cero es una indeterminación,

    *Paso2: esta indeterminación hay que resolverla mediante factorización (Ruffini, división de polinomios...), 

    *Paso3: Se eliminan los factores comunes del numerador y el denominador

    *Paso 4: Se resuelve o si no se puede se vuelve al paso 1 o 2


    thumb_up0 voto/sflag
  • icon

    Miriam
    el 3/6/17

    si

    replythumb_up0 voto/sflag
    icon

    Ángel
    el 3/6/17

    Si eres por ejemplo de 4º de la ESO:

    Click aquí: http://www.unicoos.com/cursos/4-eso/matematicas

    y pulsas en las casillas en rojo:


    O también en algunos vídeos o en "videos relacionados"

    thumb_up1 voto/sflag
  • icon

    Miriam
    el 3/6/17

    Alguien puede decirme donde están los exámenes de matemáticas??

    replythumb_up0 voto/sflag
    icon

    Axel Morales Piñón.
    el 3/6/17

    ¿Eres unicoo PRO?

    thumb_up1 voto/sflag