Me podrían ayudar con esta ecuación: e^x - e^-x?
Gracias
Igualo las dos y , me sale de la ecuación de segundo grado, la solución doble de 2.
Calculo la y del "punto d'intersecció" me da 2 (lo compruebo en los dos). En este ejercicio ningún problema (solución (2,2) )
Acerca de este ejercicio me se plantean dos dudas
a) Si al igualar, la solución de la raíz cuadrada es negativa, ¿significa que no existe punto "d'intersecció"?
b) Si al igualar, me se dan dos resultados, supongamos que la ecuación es segundo grado, y sustituyo a los dos y me coinciden, ¿ puede tener dos puntos d'intersecció o solo es uno ?.

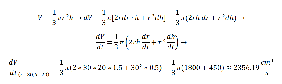
Recuerda la expresión del volumen de un cono (llamamos r al radio de su base, h a su altura):
V = (1/3)π*r2*h;
luego, como el radio es la mitad del diámetro (d) de a base, tienes a relación: r = d/2, sustituyes y queda:
V = (1/3)π*(d/2)2*h = (1/3)π*(d2/4)*h = (1/12)π*d2*h.
Luego, tenemos que el diámetro y la altura son funciones del tiempo, por lo que planteamos la función cuya expresión es:
V(t) = (1/12)π * d(t)2 * h(t),
luego derivamos con respecto al tiempo y queda (observa que tenemos un producto de funciones):
V ' (t) = (1/12)π * 2*d(t)*d ' (t) * h(t) + (1/12)π * d(t)2 * h ' (t),
luego, observa que tienes los datos necesarios en el enunciado:
h(t) = 20 cm, y h ' (t) = + 0,5 cm/s;
d(t) = 60 cm, y d ' (t) = + 1,5 cm/s;
luego reemplazas en a expresión de la función derivada y queda:
V ' (t) = (1/12)π * 2*60*1,5*20 + (1/12)π * 602 * 0,5,
resuelves término a término y queda:
V ' (t) = 300π + 150π = 450π cm3/s.
Como el valor numérico de la función derivada es positivo,
concluimos que el volumen está aumentando a razón de 450π cm3/s.
Espero haberte ayudado.