Hola! Tengo una duda sobre tipificación de variables, para buscar en las tablas de la curva normal. ¿Se puede tipificar cuando X = n? ¿O sólo cuando es mayor o menor? Muchas gracias!!!
Buenas tardes, nuevamente por aquí, me encuentro con el siguiente ejercicio una duda en el cálculo de distancia, ya que tengo la fórmula para calcular distancias entre una "recta y un punto" y entre "dos rectas paralelas" quisiera que me den una mano en el ejercicio c. Muchas gracias y disculpen las molestias

Buenas noches Unicoos.
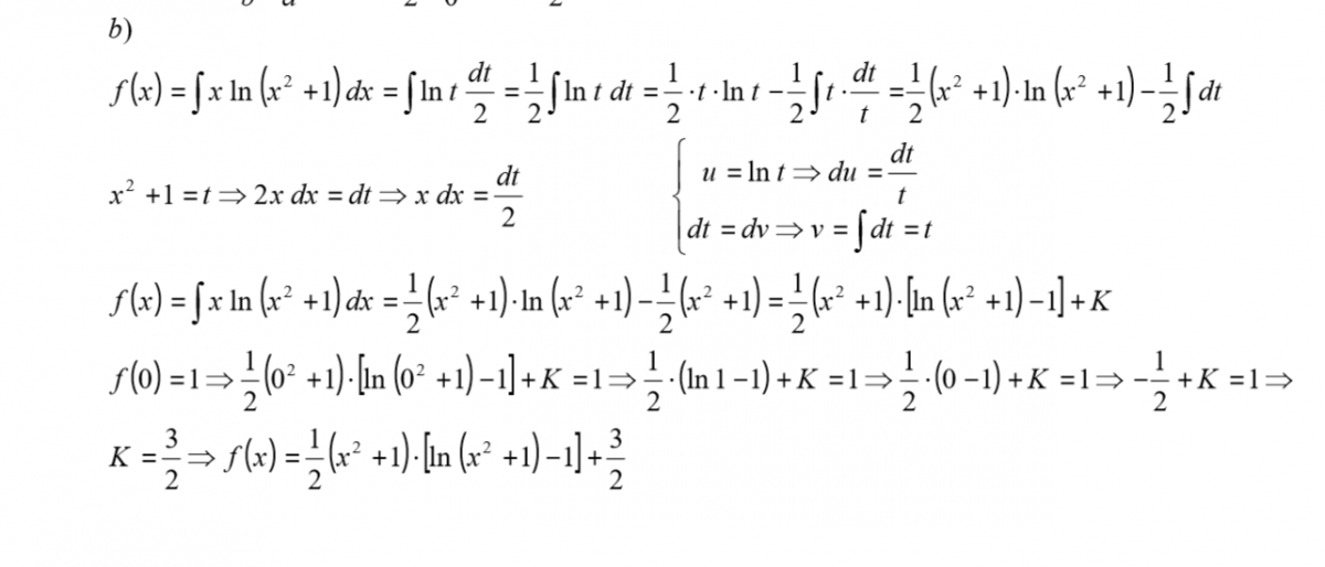
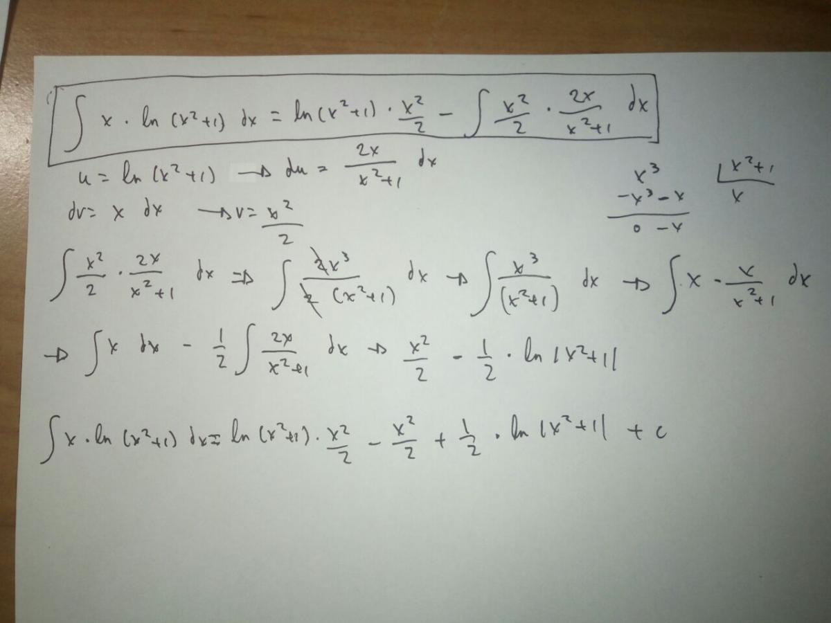
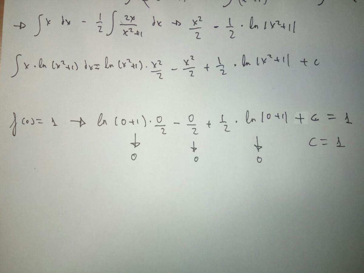
Tengo este ejercicio de integrales. La parte a) la he resuelto sin problemas, pero la parte b, al hacer la integral me parece que hay algo que está mal, puesto que no me da el resultado correcto para dar la solución a C.
Más que la solución con otro procedimiento, que también es muy interesante, me gustaría saber en qué me he equivocado.
Muchas gracias de ante mano.
Buenas a todos, me quedado atascado en el siguiente ejercicio
he realizado lo siguiente
Creo que esta bien. Pero el tema es que no se cuanto es sint* cost ni cost*-sint.
¿Alguien podría echarme una mano?

¡Hola! Nos encantaría ayudarte, pero no solemos responder dudas universitarias que no tengan que ver específicamente con los vídeos que David ha grabado como excepción. O de otras asignaturas que no sean Matemáticas, Física y Química. Lo sentimos de corazón… Esperamos que lo entiendas.
Ojalá algún unicoo universitario se anime a ayudarte (de hecho, lo ideal es que todos los universitarios intentarais ayudaros los unos a los otros).
Hola, me gustaría saber qué hacer cuando en un determinante con una incógnita (lambda) (Forma parte de un ejercicio de sistema de ecuaciones), te sale una ecuación de tercer grado que n o se puede simplificar con ruffini. ¿Cómo saco las soluciones igualando a cero?
Esta pregunta es mas bien una queja, puesto que tengo muchas medallas que debería haber ganado ya como la de Obi Wan Kenobbi (por ver todos los videos de 2º de Bachiller) pero no me aparece, y muchas medallas mas que debería haber obtenido. Gracias

Observa que el numerador (N) en la expresión de la función derivada está correcto
N = - 2.
Pero observa que debes corregir el denominador (D) en a expresión:
D = ( 1 + ( (x+1)/(x-1) )2 ) * (X-1)2 = ( 1 + (X-1)2/(X+1)2 ) * (X-1)2 = distribuimos:
= 1*(x - 1)2 + (x+1)2 = x2 - 2x + 1 + x2 + 2x + 1 =
reducimos términos semejantes (observa que tenemos cancelaciones):
= 2x2 + 2 = 2(x2 + 1).
Luego, a expresión de la función derivada queda:
y ' = N / D = - 2 / 2(x2 + 1) = - 1/(x2 + 1)2.
Espero haberte ayudado.
Hola unicoos,
como sen2 x+cos2 x=1 despejo sen2x y es 1-cos2x. Entonces como en esta ecuacion tengo lo mismo pero cambiado de signo (sen2x=cos2x-1) mi duda es si puedo tacharlos tal y como estan en la ecuacion y transforarlo en sen2x. Lo que he hecho es correcto?
Muchas gracias.

Eso es un sistema de ecuaciones ???
Cuando dices tacharlos (eliminarlos) te refieres a sumar miembro a miembro ambas ecuaciones y dado que
(Cos²@ - 1) = -Sen²@ entonces se eliminarían ???
Pero empezemos del principio , es un sistema de ecuaciones ??? que te piden hacerlo ???
Debes explicar mejor tus dudas

Me piden resolver la ecuación:
2cos²x+cosx-1=0.
Y para resolverla he pensado en que sen²x+cos²x=1. Por lo tanto si despejo el sen²x me queda que es 1-cos²x de la ecuacion sen²x+cos²x=1 .
Mi duda es si puedo tachar como he hecho en la foto cos²x-1 ya que es el sen²x despejado de la propiedad fundamental pero cambiado de signo y una vez tachado convertirlo a sen²x.
Nose si ahora me he explicado mejor.
Muchas gracias

Así como está en la imagen no está bien , porque el 2 que acompaña al Coseno cuadrado no esta en vano .
Lo correcto es hacer lo siguiente
2cos²x+cosx-1=0.
Esto es equivalente a
2(1-Sen²x) + Cosx - 1 = 0
De donde se obtiene
1 - 2Sen²x + Cosx = 0
Bien eso es lo correcto pero no lo adecuado para este ejercicio .
En el enunciado original ya está todo listo para aplicar la fórmula de la cuadrática , si allí no lo ves claro puedes hacer un cambio de variable
u = Cosx
2u² + u - 1 = 0
y resuelves .......
Pero en cuanto a tu duda me parece que ya está aclarada , te estás olvidando del 2 que multiplica , algebraicamente eso no es correcto .