Hola a todos. He estado haciendo este ejercicio que aparece en un vídeo de David, que obtiene como solución 1/2 haciendo un cambio de variable pasando menos infinito a más infinito. Yo lo he hecho de otro modo, y no entiendo en qué he fallado para obtener 1 como solución. Espero que me podáis ayudar.
Hola amigos de Unicoos. Estos días he estado haciendo unas pruebas, y en el exámen de matemáticas me he quedado con dudas acerca de un ejercicio de probabilidad. Es muy sencillo, pero el enunciado confunde y no me queda claro si lo he hecho bien o no. Hice un bachillerato de ciencia y tecnología y estos temas no caían así que me los he tenido que estudiar muy rápido y tengo poquísima práctica.
Dice: En un colegio el 80% de los colegiales estudian inglés, y de cada tres colegiales, uno estudia inglés y francés. La probabilidad de que un estudiante de inglés lo sea también de francés es aproximadamente:
a) 0,333. b) 0,267. c) 0,417
Os agradecería que me dijéses cuál pensáis vosotros que es la correcta para que me haga una idea de la nota que he sacado. Gracias.
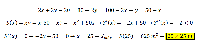
Buenas tardes. ¿Podéis echarle un vistazo a este ejercicio y decirme si la resolución es correcta? Es del modelo 0 de CYL y no tiene solucionario, además es de los primeros que hago de optimización.
Mi planteamiento:
Resultado: x=25, y=25. Área total 625m^2. ¿Es tan fácil como parece o me he equivocado en algo
Buen dia, nesecito ayuda con estos ejercicios, no hay enunciado. " EL SISTEMA DE CRAME 3X3"
a) x + 3y = 6 b) x - 3y = 7 c) x + y - 2 = 7
-x - 2y = 0 x - 4y = -5 2x - y + 2 = 0
x - y = 1
a)
Reescribamos el sistema de ecuaciones en forma de matrices y la resolvamos por el método de eliminación de Gauss-Jordan
a 2 línea sumamos 1 línea,multiplicada por 1
de 1 línea sustraemos 2 línea, multiplicamos por 3
Vamos a verificar. Pongamos la solución obtenida en la ecuación del sistema y realicemos el cálculo:
(-12) + 3·6 = -12 + 18 = 6
-(-12) - 2·6 = 12 - 12 = 0
¡La verificación está completada exitosamente!
Ответ:

Observa que los dos primeros sistemas son con dos ecuaciones y dos incógnitas, y por favor, verifica que esté bien escrito el tercero, ya que son tres ecuaciones pero las incógnitas a la vista son x e y, y puede ser que en los terceros términos de las dos primeras ecuaciones en lugar de "2" haya que escribir "z".
Luego, si el ejercicio consiste en resolver los sistemas por medio de la Regla de Cramer, tienes:
a)
Plantea el determinante del sistema, con los coeficientes de las incógnitas ordenados en columna:
D =
| 1 3|
|-1 -2| = 1(-2) - (-1)3 = - 2 + 3 = 1 ≠ 0, por lo que el sistema es compatible determinado y tiene solución única.
Plantea el determinante asociado a la incógnita x, sustituyendo la primera columna de D por los coeficientes constantes:
Dx =
|6 3|
|0 -2| = 6(-2) - 0*3 = - 12 - 0 = - 12.
Plantea el determinante asociado a la incógnita y, sustituyendo la segunda columna de D por los coeficientes constantes:
D =
| 1 6|
|-1 0| = 1*0 - (-1)6 = 0 + 6 = 6.
Luego, plantea la solución del sistema:
x = Dx/D = - 12/1 = - 12,
y = Dy/D = 6/1 = 6.
b)
El planteo es análogo al anterior, por lo que te dejo la tarea.
c)
Debes verificar el enunciado, y si tienes tres incógnitas, entonces la forma es la misma, pero extendida a un sistema de tres ecuaciones lineales de primer grado con tres incógnitas (debes recordar cómo se desarrolla y calcula un determinante de orden tres, por ejemplo con la Regla de Sarrus).
1°) Plantea el determinante D del sistema con los coeficientes de las incógnitas ordenados en columna, y si es distinto de cero, tienes que el sistema es compatible determinado y tiene solución única.
2°) Plantea y calcula el determinante Dx asociado a la incógnita x, reemplazando los coeficientes constantes en la primera columna de D.
3°) Plantea y calcula el determinante Dy asociado a la incógnita y, reemplazando los coeficientes constantes en la segunda columna de D.
4°) Plantea y calcula el determinante Dz asociado a la incógnita z, reemplazando los coeficientes constantes en la tercera columna de D.
5°) Plantea la solución: x = Dx/D, y = Dy/D, z = Dz/D.
Espero haberte ayudado.
Reescribamos el sistema de ecuaciones en forma de matrices y la resolvamos por el método de eliminación de Gauss-Jordan
de 2 línea sustraemos 1 línea, multiplicamos por 1
2- línea dividimos en -7
de 1 línea sustraemos 2 línea, multiplicamos por 3
Vamos a verificar. Pongamos la solución obtenida en la ecuación del sistema y realicemos el cálculo:
¡La verificación está completada exitosamente!
Ответ:
Reescribamos el sistema de ecuaciones en forma de matrices y la resolvamos por el método de eliminación de Gauss-Jordan
de 2 línea sustraemos 1 línea, multiplicamos por 2; de 3 línea sustraemos 1 línea, multiplicamos por 1
2- línea dividimos en -3
de 1 línea sustraemos 2 línea, multiplicamos por 1; a 3 línea sumamos 2 línea,multiplicada por 2
3- línea dividimos en -2
a 2 línea sumamos 3 línea,multiplicada por 2
Vamos a verificar. Pongamos la solución obtenida en la ecuación del sistema y realicemos el cálculo:
2·
¡La verificación está completada exitosamente!
Hola gente, me pueden ayudar con geometría analítica, como puedo hallar el punto de intersección de dos rectas y que significa que una circunferencia esta circunscrita a un triangulo? En particular mi ejercicio a resolver es, halla la ecuación de la circunferencia circunscrita al triangulo cuyo lados son las rectas r1: x+y=8, r2: 2x+y=14, r3: 3x+y=22. Represente gráficamente. Si me podrían ayudar les agradecería un montón. saludos desde Argentina.

Debes comenzar por plantear las intersecciones entre las rectas:
Para r1 y r2:
x + y = 8
2x + y = 14,
resuelves el sistema de ecuaciones con alguno de los métodos que has visto en clase, y tienes la solución: A(6,2).
Para r1 y r3:
x + y = 8
3x + y = 22,
resuelves el sistema de ecuaciones y tienes la solución: B(7,1).
Para r2 y r3:
2x + y = 14
3x + y = 22,
resuelves el sistema de ecuaciones y tienes la solución: C(8,-2).
Luego, tienes que los tres vértices pertenecen a la circunferencia circunscrita al triángulo,
por lo que planteas la ecuación cartesiana implícita de una circunferencia:
x2 + y2 + dx + ey + f = 0,
y para determinar los coeficientes d, e y f, reemplazas en ella las coordenadas de los vértices,
y por cada uno de ellos tienes una ecuación, por lo que queda el sistema:
36 + 4 + 6d + 2e + f = 0
49 + 1 + 7d + e + f = 0
64 + 4 + 8d - 2e + f = 0,
reduces términos numéricos, haces pasajes de términos y el sistema queda:
6d + 2e + f = - 40
7d + e + f = - 50
8d - 2e + f = - 68,
luego, resuelves el sistema por medio de alguno de los métodos que has visto en clase, y tienes que la solución es:
d = - 6, e = 4, f = - 12.
Luego, reemplazas en la ecuación cartesiana implícita de la circunferencia y queda:
x2 + y2 - 6x + 4y - 12 = 0,
Luego, puedes ordenar los términos y queda:
x2 - 6x + y2 + 4y = 12,
luego sumas 9 en ambos miembros, y también sumas 4 en ambos miembros, agrupas términos y queda:
(x2 - 6x + 9) + (y2 + 4y + 4) = 12 + 9 + 4,
luego factorizas los trinomios cuadrados perfectos en los agrupamientos, resuelves el segundo miembro y queda:
(x - 3)2 + (y + 2)2 = 25,
que es la ecuación cartesiana canónica de la circunferencia, cuyo centro tiene coordenadas K(3,-2) y su radio es: r = √(25) = 5.
Solo queda que hagas el gráfico.
Espero haberte ayudado.