Foro de preguntas y respuestas de Matemáticas

logo beUnicoos
Los foros de unicoos se han unificado en nuestra nueva plataforma beUnicoos. Para dejar nuevas preguntas deberás hacerlo allí, donde además podrás encontrar nuevas asignaturas y herramientas para ayudarte más con tus estudios.

  • icon

    LUKWILL _02
    el 25/5/17

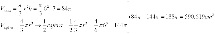
    Me podriais decir si está bien hecho, me piden el volumen de la figura

    :)

    replythumb_up0 voto/sflag
    icon

    César
    el 25/5/17

    tines solo media esfera

    thumb_up1 voto/sflag
    icon

    LUKWILL _02
    el 31/5/17

    Ya pero lo que hice fue una esfera entera y la divide entre dos y me dio 452,16cm3

    thumb_up0 voto/sflag
  • icon

    Sergio
    el 25/5/17
    flag

    no entiendo el ejemplo que me has puesto me lo puedes explicar, que formula es para saber lo que mide cada parte del listón de treinta como lo has hecho?

    replythumb_up0 voto/sflag
    icon

    César
    el 25/5/17

    mira el video Sergio

    https://www.youtube.com/watch?v=dqWRtHWI0-c


    thumb_up0 voto/sflag
  • icon

    Sergio
    el 25/5/17

    tengo una duda sobre teorema de tales empieza así : Raul tiene que cortar un listón de 30 cm en siete partes iguales Y solo tiene UNA REGLA DE 20 CM ¿COMO LO PUEDE DIVIDIR?

    replythumb_up0 voto/sflag
    icon

    César
    el 25/5/17


    thumb_up0 voto/sflag
  • Usuario eliminado
    el 25/5/17

    Muchas gracias únicos , os subo el tercero para luego así, tener mas para desarrollarlo por mi cuenta.

    agradecería enlaces a videos y teoría un abrazo fuerte:)

    Ejercicio 3º


    replythumb_up0 voto/sflag
    icon

    César
    el 25/5/17


    thumb_up1 voto/sflag
  • icon

    Luis Viñedo
    el 25/5/17



    El limite del de es ∞? Porque en mi libro no pone que ese sea el resultado

    replythumb_up0 voto/sflag
    icon

    César
    el 25/5/17

    Necesitamos saber a que tiende la x Luis

    thumb_up1 voto/sflag
    icon

    Neofito 007
    el 25/5/17

    límite a donde ??? 

    thumb_up0 voto/sflag
    icon

    Luis Viñedo
    el 25/5/17

    Lo siento mucho, no me he dado cuenta del enunciado x tiende a 2. Gracias

    thumb_up0 voto/sflag
  • icon

    Nacho
    el 25/5/17
    flag

    ALguien me da una mano. Se hace como los de costumbre tipo calculo los limites por derecha y izquierda.

    y saco condiciones o hay que hacer algo mas sofisticado 

    replythumb_up0 voto/sflag
    icon

    Antonius Benedictus
    el 26/5/17

    Ojalá algún unicoo universitario se anime a ayudarte (de hecho, lo ideal es que todos los universitarios intentarais ayudaros los unos a los otros).

    thumb_up0 voto/sflag
  • icon

    Fran Moreno
    el 25/5/17

    replythumb_up0 voto/sflag
    icon

    César
    el 25/5/17


    thumb_up0 voto/sflag
  • Usuario eliminado
    el 25/5/17

    Bueno os dejo el segundo y ya cuando podáis me vais dando pistas para ir trabajándolo. Un saludo;)

    Ejercicio 2º


    replythumb_up0 voto/sflag
    icon

    Clara
    el 25/5/17

    Lo primero que tienes que hacer es calcular el vector AB. El vector AB= B-A= (1,-3)-(2,-5)= (-1,2)

    Después poner la ecuación continua de la recta que es x-2/-1 =y+5/2. Poniendo al lado de la x el punto a cambiado de signo y debajo el vector AB.

    Igualan denominadores: 2(x-2)= - (y+5) // 2x-4=-y-5

    Igualamos a 0: 2x+y+1=0 La ecuación general de la recta que pasa por esos dos puntos

    thumb_up1 voto/sflag
  • icon

    Fran Moreno
    el 25/5/17


    replythumb_up0 voto/sflag
    icon

    Antonius Benedictus
    el 25/5/17


    thumb_up0 voto/sflag
  • icon

    Yelitsa Ramirez
    el 25/5/17
    flag

    • Alguien podria decirme si está bien y sino corregir mi error  porfavor

    replythumb_up0 voto/sflag
    icon

    Antonius Benedictus
    el 26/5/17

    Ojalá algún unicoo universitario se anime a ayudarte (de hecho, lo ideal es que todos los universitarios intentarais ayudaros los unos a los otros).

    thumb_up0 voto/sflag