Hola amigos de unicoos....
Necesito ayuda con un tema que implica doble integración_______
// Determinar el volumen del sólido cuya base es la región del plano xy que limitan la parábola de y=4-x2 y la recta y=3x, mientras que su tejado es el plano z=x+4.
(Nota: Usar la definición de la doble integración ∫ ∫ f(x,y) dA )
Les agradecería una ayuda si me podéis colaborar con esto, xq me complico al hacer la integral y definir los limites.
Gracias de antemano
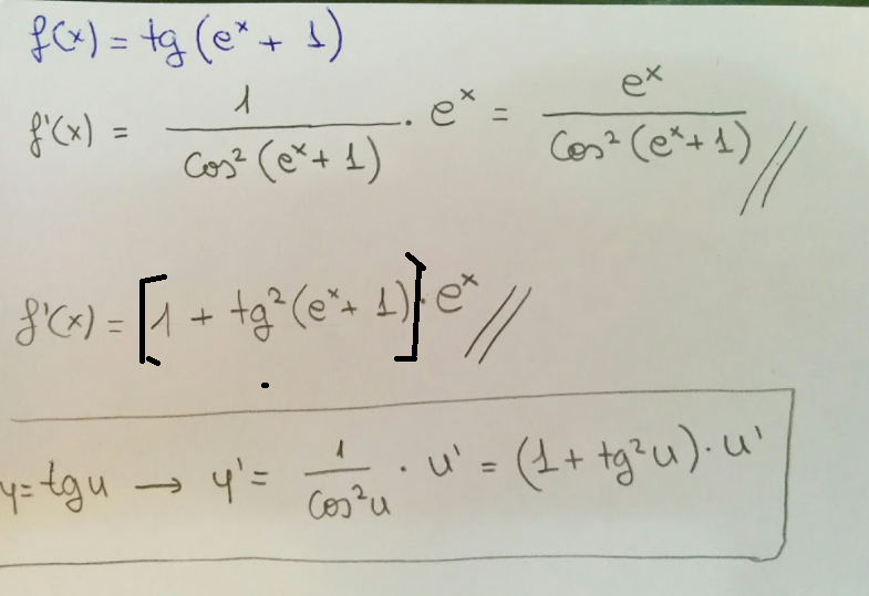
Hola unicoos,
Los dos procesos para resolver la derivada son correctos?
Esque no sé como aplicar la fórmula (recuadrada en el papel)
Muchas gracias.
Hola a todos, tengo una duda con este gráfico, dibuje una circunferencia de radio 1 y todo lo que pertenece es lo de afuera, pero en que me afecta que x ≥ 0? No seria lo mismo si no estuviera eso? Gracias!
S={ (x,y) є R2 :
x2 + y2 ≥ 1 ; x ≥
0 }

Cambia porque si ponés x>=0 estás haciendo referencia al primer y último cuadrante, y el gráfico final va ser la intersección de x>=0 con la circunferencia sin incluir la medialuna que está del lado del primer y último cuadrante, fijate graficá la circunferencia y después x>=0 y vas a ver lo que te digo