Cómo sería la integral de dx/x - x^2? Muchísimas gracias por adelantado! :)
Hola!! Alguien puede verme el fallo en esta parte de integral; lo anterior lo tengo bien , pero en esta parte me falla el 91/ 1690 del final que en las soluciones da 7/130 y no entiendo como puede darle eso😅 un saludo y muchas gracias
lim x---->0 sen(a+x). sen (a+2x)-(sen)^2(a)/ x porfaaaaa ayuda con este limite desglozando todo no me da nada para eliminarme esa equis de abajo no se si un cambio de
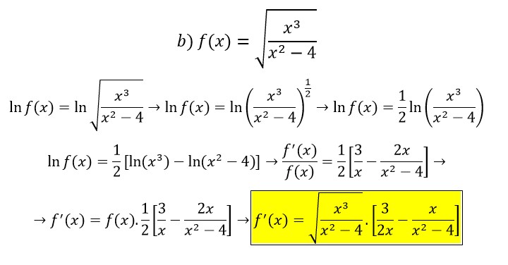
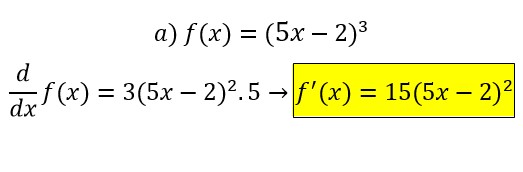
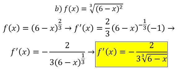
Hola! Alguien me puede ayudar con este ejercicio, es que no sé como comprobar que es cierto. Gracias!!^^

Observa que tienes la expresión de una función exponencial cuyo dominio de R:
y(x) = Ce3x + 1.
cuya derivada primera tiene la expresión:
y ' (x) = Ce3x*3 + 0 = 3Ce3x..
Luego, tienes la ecuación diferencial de primer orden, primer grado y coeficientes constantes:
y ' - 3y = - 3.
Luego, sustituyes las expresiones de la función que tienes en el enunciado, y de la derivada que tienes planteada, y queda:
3Ce3x - 3(Ce3x + 1) = - 3, distribuyes el segundo término y queda:
3Ce3x - 3Ce3x - 3 = - 3, cancelas términos opuestos y queda:
- 3 = - 3, que es una identidad verdadera,
por lo que tienes que a función es solución de la ecuación diferencial ya que verifica la misma.
Espero haberte ayudado.