En la ecuación diferencial [[ y dx - x dy = 0 ]] di cual de las siguientes opciones es la correcta:
A. Es exacta.
B. No es exacta y el factor integrante es 1/x
C. No es exacta y el factor integrante es 1/xy
D. No es exacta y no tiene factor integrante.
Calculo y me da que la ecuación diferencial no es exacta porque dM/dy = 1 dN/dx = -1
Calculo a(x) y me da que a(x)= -2/x Calculo el factor integrante u(x) y me da que u(x)= 1/x^2
Si lo calculo mediante a(y), el factor integrante me da u(y)=1/y^2
Según el solucionario la opción correcta es la C, pero por más que lo miro no veo el fallo.
¿Cómo llego a ese factor integrante?

Tu tienes razón y el libro también , para convertir a exacta existen 2 famosos casos justo lo que estás allí mostrado, pero existe un tercer caso e incluso un cuarto caso más generalizado que abarca los 3 anteriores.
Voy emplear D , d para expresar derivada parcial ya que estoy en el móvil.
El tercer caso es el siguiente
Si existen m , n tal que se cumpla
DM/dy - DN/dx = m(N/x) - n(M/y)
Entonces un factor integrante es
u(x, y) = (x^m) (y^n)
En tu ejercicio tienes
1 - (-1) = m(-x/x) - n(y/y)
- 2 = m+n
Acá puedes encontrar una infinidad de factores integrantes pero de busca los más sencillos, entonces
m = - 1 , n = - 1
Un factor integrante es
u(x, y) = (x^-1)(y^-1) = 1/(xy)
Observa también que - 2 = m+n abarca las soluciones que encontraste haciendo m=0 o n=0

Como nota en los textos suele usarse la palabra un factor integrante , justamente porque pueden existir muchos factores integrantes como los 2 que hallaste y en lo que te muestro que puedes encontrar muchos más.
Decir El factor integrante puede confundir y se puede pensar que es único, lo cual no es cierto.
Lo que Calculas es correcto pero no están en las alternativas entonces se tiene que buscar otros factores.
Saludos
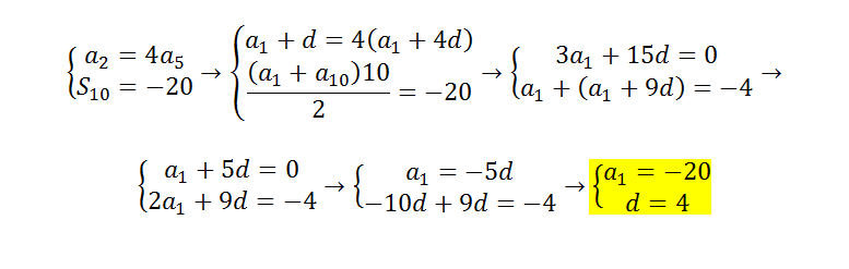
Hola me pueden ayudar por favor con este ejercio, es una serie aritmética.
En una progresión aritmética, el segundo término es cuatro veces el quinto término y la suma de los 10 primeros términos es -20. Halle el primer término y la diferencia
Tengo 2 ejercicios uno tengo dudas y el otro no se como sacarlo
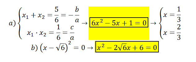
1-"La suma de sus soluciones es 5/6 y su producto 1/6.Hallar la ecuacion cuadratica que lo satisface "
En este lo hago 2x=5/6 y me da 10/12 y lo factorizo y me queda 5/6 pero el producto tendria que sacar la raiz cuadrada de 5/6?
2-"Tiene una solucion de multiplicidad 2 que es raiz de 6.Hallar la ecuacion cuadratica"
Ese no se como hacerlo.
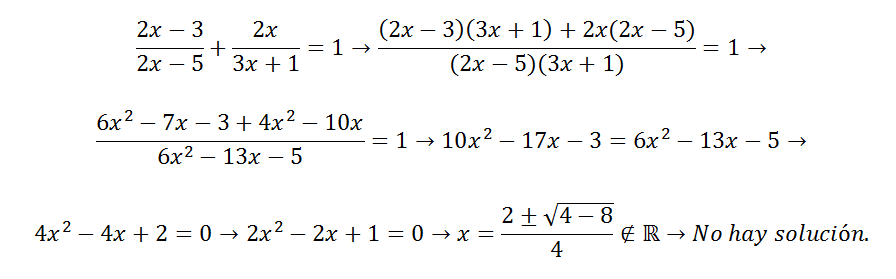
Buen dia profesor!!!! como se resuelve esto ? me matado intentando resolverlo y no puedo
2x -3 sobre 2x +5 + 2x sobre 3x+1 = 1
No entiendo como hacerlo ayuda por favor!!!

Tienes la ecuación:
(2x - 3)/(2x + 5) + 2x/(3x + 1) = 1,
multiplica en todos los términos de la ecuación por (2x + 5)(3x + 1), que es el producto de los denominadores, simplificas y queda:
(2x - 3)(3x + 1) + 2x(2x + 5) = 1(2x + 5)(3x + 1)
luego distribuyes en todos los términos y queda:
6x2 - 7x - 3 + 4x2 + 10x = 6x2 + 17x + 5
luego haces pasajes de términos, reduces términos semejantes y queda:
4x2 - 14x - 8 = 0
luego divides por 2 en todos los términos de la ecuación y queda:
2x2 - 7x - 4 = 0
observa que es una ecuación polinómica cuadrática cuyas soluciones son:
x = - 1/2 y x = 4,
y observa que ambas son válidas, ya que no anulan los denominadores en la ecuación del enunciado.
Espero haberte ayudado.
Ayuda! Cuál es el dominio de una función racional cuyo denominador es x^2 +4. ??
Si el dominio del numerador es todo ℛ, el del denominador se haría así:
Igualamos a cero: x^2+4=0 --------> x^2=-4 -----> x= √-4 -----> No existe en los números reales. ( concluimos que no hay ningún número en los reales que anule dicho denominador)
Luego...el dominio de esa hipotética función racional con dominio todo ℛ en el numerador, también tendría todo ℛ en el numerador.
SERÍA CONTÍNUA EN TODO R. Dominio: (-inf,inf)= ℛ