Hola unicoos,me ayudan con esto???? Es de fisica pero en el foro del mismo me dicen que no corresponde a la fisica!!!
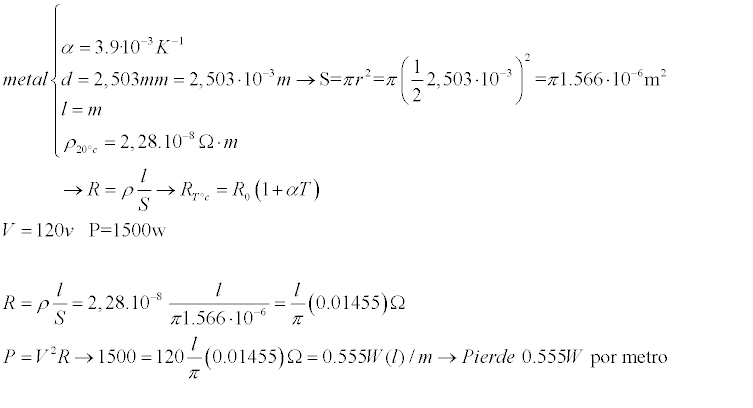
Calcular la perdida de voltaje por unidad de longitud (v/m) y la perdida de potencia por unidad de longitud (w/m) en un alambre de aluminio cuando una carga de 1500w se conecta al circuito de 120v. A temperatura ambiente el alambre de aluminio tiene una resistividad de 2,28.10∧-8 ohmios .El diametro del alambre es de 2,503 mm
Me podrian decir bien que formula debo usar y el pasaje de unidades? Gracias!
ayuda por favor hago el problema pero me da 9,45% y debe dar 5,50%
a una suma desconocida se le aumenta un 20%, luego se le disminuye un 25% y por fin se le aumenta 5%. al final la suma ¿aumento disminuyo o quedo igual? en que porcentaje?

pongamos que la suma es → N
primero nos dice que que aumenta un 20%
entonces es 100%N + 20%N = 120%N
LUGO NOS DICE QUE DISMINUYE UN 25% DEL NUEVO TOTAL entonces nos queda el 75% del total → 75%120%N
y luego aumenta un 5% entonces → 105%75%120%N
entonces al final nos quedamos con:
→(105/100)(75/100)(120/100)N = 0,945N ( QUIERE DECIR QUE DISMINUYO)
N - 0,945 = 0.055
→ FINALMENTE: QUE TANTO POR CIENTO ES "0.055N" DE "N"
Rpta= 5.50%
Buen día Unicoos,
Por favor su ayuda con este ejercicio de programación lineal
La empresa de Lácteos Velmon ofrece dos productos; el de tipo A que es el yogur a un precio de 7.500 por unidad y el de tipo B que es el kumis a un precio 5.800; el producir 450 unidades del tipo A cuesta 5.800 ; los ingredientes utilizados por unidad son 2 litros leche, 1 mg de saborizantes y 3mg de azúcar y producir 510 unidades de tipo B cuesta 4.200; sus ingredientes son 1 litro de leche ,y 6 mg de azúcar; para producir la cantidad de tipo A se tiene 50 lts de leche,1200 mg de saborizantes y 250 mg de azúcar y para los de tipo B se tiene; 70 lts de leche, y 320 mg de azúcar la utilidad que deja cada unidad es 1.200; ¿Cuál es la utilidad máxima que dejan estos productos?
Buenas noches. Haciendo el siguiente ejercicio de valor absoluto:
Ι3x-5Ι ≤ Ι2x-1Ι + Ι2x+3Ι
me dio como resultado todos los números reales, pero el libro indica que el conjunto solución es: (-∞,-7] ∪ [1/3, +∞).
Revise varias veces pero no coincide con el resultado del libro. Quisiera saber si es que el libro tiene un error o soy yo. Saludos y muchas gracias.

Comienza por plantear los diferentes casos para la integral indefinida I = ∫ (1/xp)dx = ∫ x-pdx:
1°) Si p = 0 queda: I = ∫ x-0dx = ∫ 1*dx = x + C.
2°) Si p = 1 queda: I = ∫ x-1dx = lnx + C.
3°) Si p ≠ 0 y p ≠ 1 queda: I = ∫ x-pdx = x-p+1/(-p+1) + C;
y aquí tenemos dos casos:
a) Si -p + 1 > 0, que corresponde a 1 > p que equivale a p < 1, observa que el exponente es positivo;
b) Si -p + 1 < 0, que corresponde a 1 < p que equivale a p > 1, observa que el exponente es negativo.
Luego, observa que la integral del enunciado tiene que su límite de integración inferior es impropio,
por lo que evaluamos con Regla de Barrow entre a y 1 en todos los casos, y luego planteamos el límite cuando a tiende a 0 por derecha:
1°)
I = [ x ] = 1 - a,
y luego I = Lím(a→0+) (1 - a) = 1 - 0 = 1,
por lo que la integral es convergente en este caso.
2°)
I = [ lnx ] = ln1 - lna = 0 - lna = - lna,
y luego I = Lím(a→0+) (- lna) = - Lím(a→0+) lna = + ∞,
por lo que la integral es divergente en este caso.
3°a)
I = [ x-p+1/(-p+1) ] = 1-p+1/(-p+1) - a-p+1/(-p+1) = 1/(-p+1) - a-p+1/(-p+1) = ( 1/(-p+1 )*(1 - a-p+1),
y luego I = Lím(a→0+) ( 1/(-p+1 )*(1 - a-p+1) = ( 1/(-p+1) )*Lím(a→0+) (1 - a-p+1) = ( 1/(-p+1) )*(1 - 0-p+1) = 1/(-p+1),
por lo que la integral es convergente en este caso.
3°b)
I = [ x-p+1/(-p+1) ] = 1-p+1/(-p+1) - a-p+1/(-p+1) = 1/(-p+1) - a-p+1/(-p+1) = ( 1/(-p+1 )*(1 - a-p+1),
y luego I = Lím(a→0+) ( 1/(-p+1 )*(1 - a-p+1) = ( 1/(-p+1) )*Lím(a→0+) (1 - a-p+1) =
= ( 1/(-p+1) )*Lím(a→0+) (1 - 1/ap-1) = observa que el exponente de a es positivo = + ∞,
por lo que la integral es divergente en este caso.
Espero haberte ayudado.

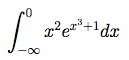
Comenzamos por plantear la integral indefinida:
I = ∫ ex^3+1x2*dx, planteas la sustitución (cambio de variable): w = x3 + 1 (te dejo la tarea) y queda:
I = (1/3)*ex^3+1 + C.
Luego, observa que la integral del enunciado tiene que su límite inferior es impropio, por lo que evaluamos la integral definida entre a y 0:
I = [ (1/3)*ex^3+1 ] = (1/3)*e0^3+1 - (1/3)*ea^3+1 = e/3 - (1/3)*ea^3+1.
Luego, pasamos al límite para a tendiendo a - infinito de la integral definida:
I = Lím(a→ -∞) (e/3 - (1/3)*ea^3+1),
luego, planteamos la sustitución (cambio de variable) a = - w, y queda:
I = Lím(w→ +∞) (e/3 - (1/3)*e(-w)^3+1) = Lím(w→ +∞) (e/3 - (1/3)*e-w^3+1) =
= Lím(w→ +∞) ( e/3 - (1/3)*( 1/ew^3-1) ) = e/3 - (1/3)*0 = e/3 - 0 = e/3,
por lo que tenemos que la integral es convergente.
Espero haberte ayudado.