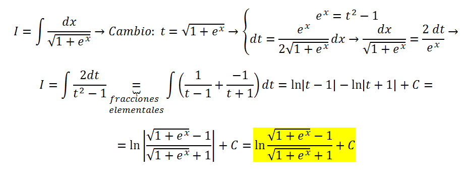
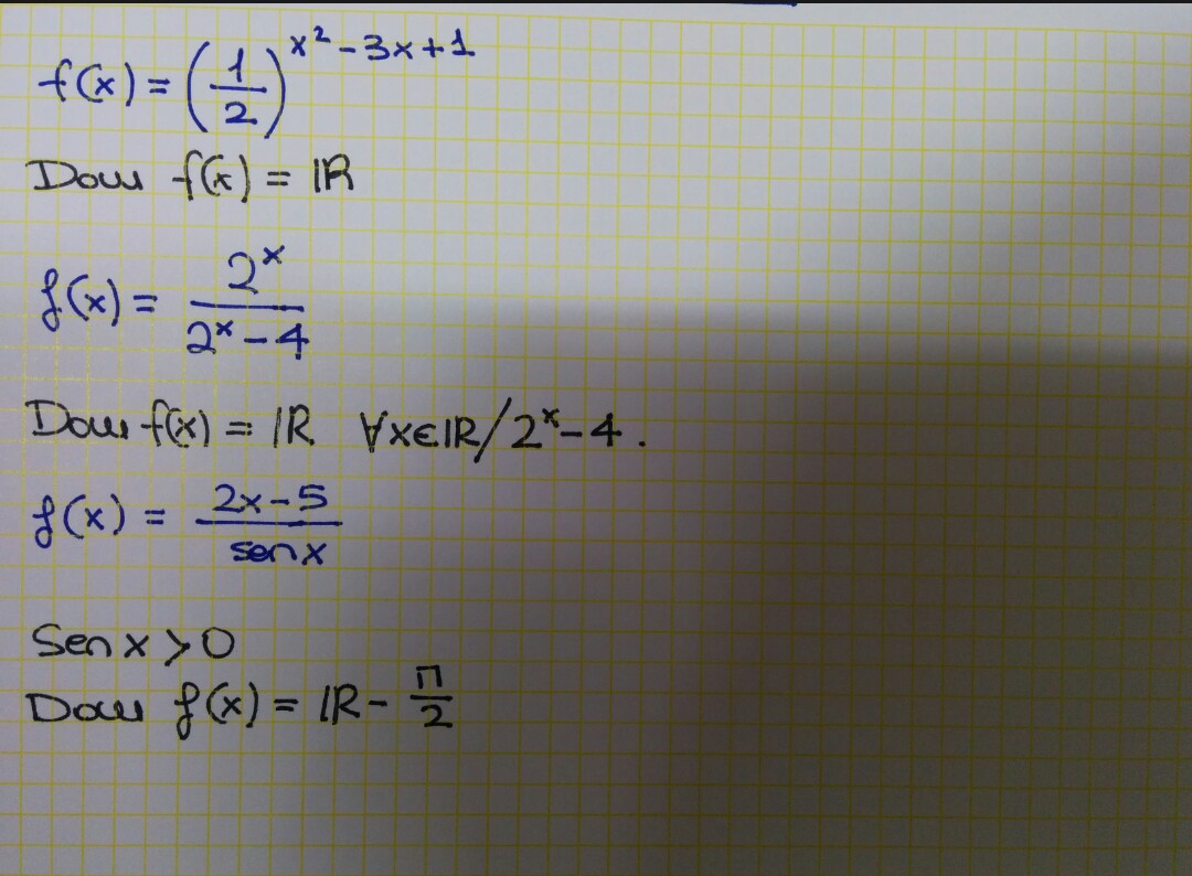
Hola Unicoos, me dicen si tengo algún fallo en estos dominios, en la segunda no sé cómo justificar que es todo R y en la tercera no sé cómo expresarlo, me lo podrían justificar? Se lo agradecería mucho.
Muchísimas gracias

Lo mismo que ya sabes, en la Segunda la única restricción es que el denominador no sea cero, tienes que resolver la ecuación, bueno es cero solo para x=2 Entonces
Dom = R - { 2 }
En el tercero es la misma situación que el segundo caso, el seno es cero en todos los enteros de pi , que se representan como x=k*pi , siendo k un entero
Dom = R - { k*pi } , k es un entero
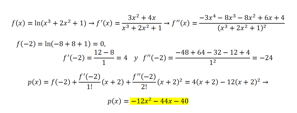
Hola Unicoos, me dicen si tengo algún fallo en estos dominios, dudo en la última, porque creo que es todo R porque es un polinomio aunque tenga raíz pero no estoy segura, si me lo pueden justificar se lo agradecería mucho.
Muchas gracias

Requiere un poco de teoría elemental que en el proceso vas ir aprendiendo
La primera es correcta
En la segunda debes conocer que el argumento del logaritmo (en cualquier base) es siempre positivo, entonces
- 3x + 2 > 0 , allí encuentras el dominio
En el tercero, lo ya conocido denominador diferente de cero hay que resolver Ln(x-1)=0 cuya solución es x=2 , este valor se debe excluir.
Además el argumento debe ser positivo entonces
x - 1 > 0 , de acá que x>1
Por lo tanto el dominio es
( 1 , infinito) - { 2}
En el último debes conocer que el argumento o lo que va dentro de una raíz de índice par debe ser no negativo ( positivo o cero)
Dado que es la única restricción entonces
Dom = [ 0 , infinito)

El logaritmo es cero ( en cualquier base) si el argumento es 1 por eso x-1=1 de donde x=2
O hacerlo por simple definición
Ln(x) = y si y solo si x = e^y
En el ejercicio
Ln(x-1)=0 entonces 1-x=e^0=1 , de allí que x=2
Ojo que vale para cualquier base, sino que pongo la base neperiana porque el ejercicio es asi
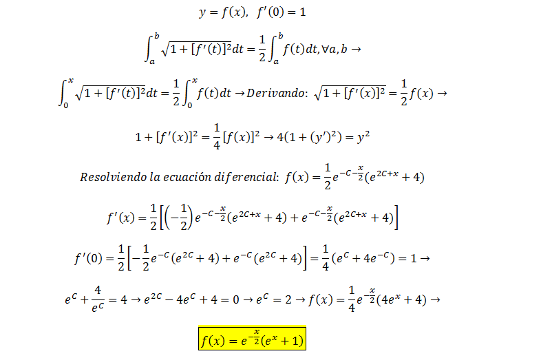
hola me ayudan a saber a que se refiere cuando dice dos ordenadas extremas? en este ejercicio:
Determinar la ecuación de una curva, sabiendo que su pendiente es 1 cuando 𝑥 = 0 y la
longitud de un arco de la misma es numéricamente igual a la mitad del área comprendida
entre dicho arco, el eje de abscisas y dos ordenadas extremas.
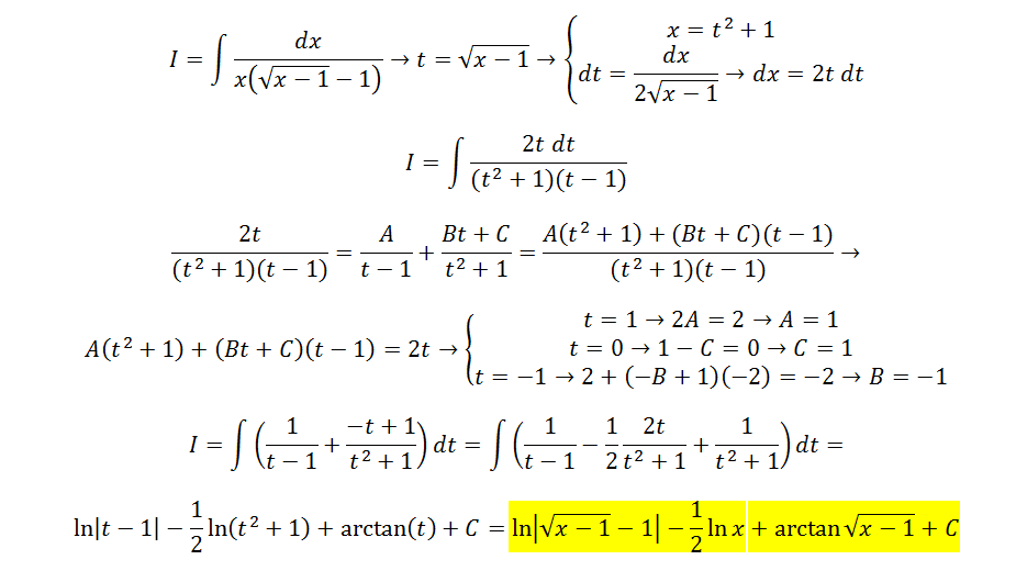
Hola, me ayudan con este ejercicio de Álgebra? Gracias. Geometría analítica:
Hallar la ecuación de una recta que pase por A(4, -3) de manera que el área del triángulo determinado por la recta y los ejes coordenados sea 3 unidades cuadradas

Por favor, verifica tu enunciado.
Si haces un gráfico cartesiano, verás que el triángulo está incluido en el cuarto cuadrante, y que su base tiene llongitud mayor que 4 y que su altura tiene longitud mayor que 3, por lo que su área es mayor que 4*3/2 = 6 unidades cuadradas.
Espero haberte ayudado.
Estoy estudiando esta serie.
En particular, estoy viendo convergencia uniforme, y he encontrado a través de la prueba de raíz que la serie converge uniformemente en cualquier intervalo del tipo [0, a] con a <2.
Pero no sé cómo proceder para la convergencia uniforme con x <0? ¿Alguien quiere ayudarme?

Me encantaría ayudarte, pero no respondo dudas universitarias que no tengan que ver específicamente con los videos que ya he grabado como excepcion. O de otras asignaturas que no sean matemáticas, física y química. Lo siento de corazón… Espero lo entiendas
Ojalá algun unicoo universitario se anime a ayudarte (de hecho lo ideal es que todos los universitarios intentarais ayudaros los unos a los otros)